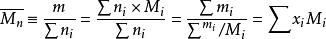
數均分子量=求和各組分分子量*組分摩爾數/總摩爾數。常用聚合物稀溶液的冰點降低,沸點升高,滲透壓法和端基滴定法等依數性方法來測定,其意義是某體系的總質量m被分子總數所平均。
低分子量部分對數均分子鏈有較大的貢獻。
高聚物分子量的統計性 :高分子由很大數目的單體分子通過聚合反應而形成。在加成聚合過程中形成的高分子的分子量將是組成這個高分子的單體分子量的整倍數。如果聚合是通過縮聚反應的,則由於反應中有某種小分子逸出,形成的高分子的分子量小於組成這個高分子的單體分子量的整倍數。由於聚合反應中高分子鏈的增長和終止受反應幾率和可能存在的雜質的影響,高聚物中各個高分子並不是由相同數目的單體聚合而成的,因而試樣中各個高分子的分子量將不完全相同。在文獻中通常將這種分子量的不均一性稱作分子量的多分散性。由於高分子的分子量有多分散性,要表征高分子的分子量就需要套用統計方法。最完整的表達形式應該是高聚物的分子量分布,因為它表明了試樣中不同分子量組分的相對含量。
用一般分子量測定方法來測定高聚物的分子量時,所得到的將是分子量的平均值。具體數值將決定於所用的方法和該方法的統計基礎。
數均分子量公式為
數均分子量
