基本介紹
擴張實數系是實數加上無窮遠點的集合,把兩個理想點+∞(讀作正無窮大)與﹣∞(讀作負無窮大)加進實數系所得到的數系,通常記為R*或[﹣∞,+∞] 。
注 擴張的實數系的一種用途是表達式“supS”,若S是有上界的非空實數集,則定義supS為S的最小上界,若S沒有上界,就定義supS為+∞,於是,對所有非空集S,supS都有定義,而且,如果我們定義空集的上確界是﹣∞,那么無論在何種場合,supS都是大於或等於S的各個元素的最小的擴張實數。關於“infS”採用類似的約定。
擴張實數系的性質
R*的元素滿足以下規定(不同文獻中的提法略有差異):
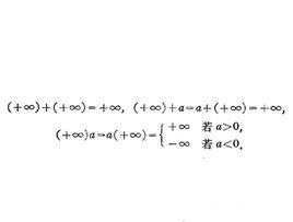
1.對任意實數a,有-∞<a<+∞,
a+(±∞)=(±∞)+a=±∞,
擴張實數系
擴張實數系a-(±∞)=∞,a/(∞)=0.
2.(+∞)+(+∞)=+∞,
(-∞)+(-∞)=-∞.
3.若a>0或a=+∞,則a·(±∞)=(±∞)·a=±∞;
擴張實數系若a<0或a=-∞,則a·(±∞)=(±∞)·a=∞.
實數系R可以用集合{x|-∞<x<+∞}表示。在數軸上,+∞與-∞分別表示正向與負向的無窮遠點。引進理想元素+∞與-∞,主要是為了敘述與表示上的方便(例如,可以統一處理函式極限),另一方面,也是為了把R擴張為緊緻集R*(賦予適當的距離後,它與閉線段同胚)。這種緊緻化思想在現代數學中是相當有用的 。
若S是R*的非空子集,設supS是R*中對每個x∈S有x≤b的最小的元素b。若+∞∈S,顯然supS=+∞。此外,若對每個x∈S有x<+∞,但S在R內沒有上界,則supS=+∞。
inf S的定義是類似的。所謂+∞的鄰域,是指任一集{x∈R*:x>c}。於是R*內的序列收斂於+∞就變得有意義了。若x₁,x₂,...是R*內的任一不減序列,使對某個m有x>-∞,則此序列有極限x,x可為有限數(即在R內),可為+∞ 。

