概述
摩爾-庫倫強度理論
1773年,庫倫首先提出土的強度理論,其表達式為
摩爾-庫侖屈服準則式中:C為土的黏聚力;∅為土的內摩擦角;σn,τn分別為滑移面上的正應力與切應力。
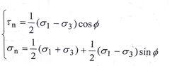
庫倫準則可用應力圓表示,如圖11-9所示。該準則可以這樣理解當材料中某點在某一平面N上裝生滑移(剪下)時,作用在該面上的切應力τn除了要克服材料固有的內聚力C外,還要克服由於作用於該面上的正應力σn所形成的摩擦力(注意,這裡規定拉應力為正,而在土力學中則以壓應力為正)。
摩爾-庫侖屈服準則摩爾-庫侖屈服準則公式推導
由圖11-9得:
1式將上式代入庫倫的強度理論表達式中
2式
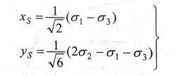
摩爾-庫侖屈服準則
摩爾-庫侖屈服準則式中的第二項表示靜水壓力對屈服準則的影響,反映了土的塑性特徵,因而該準則在岩土工程中有廣泛套用。在π平面上,,因此有,則上式可寫成
3式根據
4式代入2式得到庫倫屈服準則在π平面的公式:
5式用這一公式繪出圖形,再利用對稱開拓可以得到圖11-10中虛線所示的等邊不等角六邊形。它在主應力空間中是六稜錐體。
摩爾-庫侖屈服準則摩爾-庫侖屈服準則套用
摩爾一庫侖等面積圓屈服準則及工程套用
將M-C等面積圓屈服準則和有限元強度折減係數法相結合,提出了在平面應變條件下有限元分析模型的選取、邊界條件的處理方法、收斂條件,以及採用大型通用有限元程式ANSYS分析邊坡穩定時c,ψ值的替換原則、最後用於分析某工程深基坑複合邊坡的穩定同理、給出該工程邊坡的安全係數。
基於準則計算隧道圍岩抗力係數
在目前隧道襯砌設計理念中,大多採用局部變形理論(即Winkler假定)以及荷載一結構法思想指導設計,圍岩抗力系致是設計環節中的一個極為重要的基礎計算參數,它的取值與村砌設計內力關係密切、在一般隧道襯砌的設計過程中,設計人員通常採用查表來確定國岩杭力系致或者利用彈性理論公式或看錢令酋公式進行理論計算。科學家根據各種屈服條件以及不同計算模型,利用有限環方法得出有壓水工隧洞圍岩抗力係數計算公式;還有一些科學家利用境一強度鄧論,按有壓水工隧洞模型,考慮中同主應力影響,對圍岩抗力系致計算進行了研究。於是針對公路隧道國岩實際情況,採用摩爾一庫侖準則,可得到了圍岩抗力系量計算公式。
按照荷載——結構法思想,合理考慮周岩與襯砌一道工作、分水荷載的能力能夠充分體現設計時安全與經濟相互協調的理念,真中圍岩抗力係數值的確定尤為關鍵,基於摩爾——庫侖屈服準則推導得出的圍岩抗力係數計算公式,具有較強實用價值。

