布設原則
1 排水溝一般布設在坡面截水溝的兩端或較低一端,用以排除截水溝不能容納的地表徑流。排水溝的終端連線蓄水池或天然排水道。
2 排水溝在坡面上的比降,根據其排水去處(蓄水池或天然排水道)的位置而定,當排水出口的位置在坡腳時,排水溝大致與坡面等高線正交布設;當排水去處的位置在坡面時,排水溝可基本沿等高線或與等高線斜交布設。各種布設都必須 作好防沖措施(鋪草皮或石方襯砌)。
3梯田區兩端的排水溝,一般與坡面等高線正交布設,大致與梯田兩端的道路同向。一般土質排水溝應分段設定跌水。排水溝縱斷面可採取與梯田區大斷面一致,以每台田面寬為一水平段,以每台田坎高為一跌水,在跌水處做好防沖措施(鋪草皮或石方襯砌)。
排水溝斷面設計
(1) 排水溝斷面A2。根據設計頻率暴雨坡面最大徑流量,按明渠均勻流公式計算:
排水暗溝式中:A2──排水溝斷面面積,m;
Q──設計坡面最大徑流量,m /s;
C──謝才係數;
R──水力半徑,m;
i──排水溝比降。
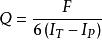
(2)Q值的計算:
排水暗溝式中:Q──設計最大流量,m /s;
IR──設計頻率10min最大降雨強度,mm/min;
Ip──相應時段土壤平均入滲強度,mm/min;
F──坡面匯水面積,hm。
(3)R值的計:
排水暗溝式中:R──水力半徑,m;
A2──排水溝斷面面積,m;
x──排水溝斷面濕周,m。
分類
陽溝
陽溝又稱“明溝”,露出地面的排水溝。除澇排水溝的農溝間距一般為100一400米。溝深一般為1米左右。
暗溝
暗溝(又稱為盲溝):
地下的排水溝,用於在一些要求排水良好的活動場地,如體育館地下水位高影響植物生長可以用盲溝。

