三種形態
它有三種形態:
①當遠期匯率高於即期匯率時,稱之為“升水”或“溢價”(At Premium);
②當遠期匯率低於即期匯率時,稱為“貼水”或“折價”(At Discount);
③當遠期匯率與即期匯率相同時,則稱為平價(At Par)。
報價法
掉期率掉期率報價法與另一種報價法不同,銀行首先報出即期匯率,在即期匯率的基礎上再報出點數(即掉期率),客戶把點數加到或從即期匯率中減掉點數而得到遠期匯率。
在掉期率報價法下,銀行給出點數後,客戶計算遠期匯率的關鍵在於判斷把點數加到即期匯率中還是從即期匯率中減掉點數,其判斷原則是使遠期外匯的買賣差價大於即期外匯的買賣差價,因為作為銀行來說,從事外匯交易的利潤來源主要就是買入賣出外匯之間的差價,在遠期外匯業務中銀行所承擔的風險要比從事即期外匯業務的風險大,因而也要求有較高的收益,表現在外匯價格上就是遠期外匯的買賣差價要大一些。如下例:
例3.3 2004年某月一客戶向銀行詢價時,銀行用掉期率標價法報出遠期英鎊價格:
Spot 1.7540/50;
30-day 2/3;
90-day 28/30;
180-day 40/20。
解:1、首先明確一個概念,掉期交易是“買和賣”或者“賣和買”某種貨幣的兩筆交易(交割日不同),所以,掉期率報出來的點數(即買價掉期率/賣價掉期率)不同於一般意義上的“遠期升貼水點數”,“買價掉期率”是報價方用“即期賣出這個貨幣的匯率”與“報價方遠期買入這個貨幣的匯率”的差價;同樣,“賣價掉期率”是報價方用“即期買入這個貨幣的匯率”與"報價方遠期賣出這個貨幣的匯率"的差價。這意味著:用掉期率報價時,要用即期匯率去算遠期匯率時,應該直接相加或交叉相減(點數是小/大點,為加;點數是大/小點,為減)。
2、所以,在這裡:spot 1.7540/50 30-day 掉期率為 2/3 (2/3是小/大點,應該為加法)
即:報價方在即期用1.7550的匯率賣出英鎊時,在遠期用1.7542(即1.7540+0.0002)的匯率再買入英鎊。
同樣,報價方在即期用1.7540的匯率買入英鎊時,在遠期用1.7553(即1.7550+0.0003)的匯率再賣出英鎊
3、同理,90-day的算法和30-day的算法一樣,都是加法
4、但是,180-day的算法稍有些不同,因為這裡的掉期率是:40/20,這是大/小點,應該為減法。
即:報價方在即期用1.7550的匯率賣出英鎊時,在遠期用1.7500(1.7540-0.0040)買入英鎊。
報價方在即期用1.7540的匯率買入英鎊時,在遠期用1.7530(1.7550-0.0020)賣出英鎊。
計算方法
1、掉期率的計算方法
掉期率的計算有兩種不同的方式,一種是以利率差的觀念為計算基礎,另一種是以利率平價理論的觀念作為計算基礎。
1.以利率差的觀念為基礎的計算公式為:
掉期率計算= (遠期匯率-即期匯率)/ 即期匯率 × 360/ 遠期契約天數
2.以利率平價理論為基礎的計算公式為:
掉期率=遠期匯率-即期匯率
2、不規則天數的掉期率的計算
不規則天數的掉期率常採用平均天數法來計算,其計算過程可以分為4個步驟:
(1)找出最接近不規則天數的前後兩個規則天數的掉期率。
(2)計算出前後兩個規則天數的掉期率的差額和這兩個交割日之間的天數,以掉期率差額除以天數,得到每一天的掉期率。
(3)計算出不規則天數交割日與前一個規則天數交割日之間的天數,以這一天數乘以所求得的每一天的掉期率,得到一掉期率。
(4)將這一掉期率與前一個規則天數的掉期率相加,得到不規則天數的掉期率。
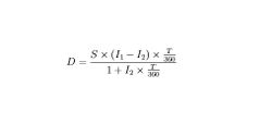
計算公式
掉期率公式可分為:
掉期率S——即期匯率;
I1為計價貨幣利率;
I2為基礎貨幣利率;
T——天數;
D——掉期率。
在上述公式中,若計價貨幣利率大於基礎貨幣利率,其利率差為正數,此時遠期匯率減其即期匯率大於零,稱之為升水;若計價貨幣利率小於被計價貨幣利率,其利率差為負數,此時遠期匯率減其即期匯率小於零,稱之為貼水。

