簡介
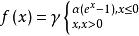
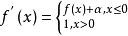
表達式
指數線性單元
指數線性單元與其他激勵函式對比圖像
ELU與其他類似激活函式對比上圖為ELU、LReLU、ReLU和SReLU的對比圖。
類似激活函式
神經網路中使用激活函式來加入非線性因素,提高模型的表達能力。Leaky ReLU、ELU及SELU均為ReLU的變種函式。
ReLU
Rectified Linear Unit,修正線性單元,形式如下:
指數線性單元RELU公式近似推導:
指數線性單元
指數線性單元其中。
指數線性單元softplus函式與ReLU函式接近,但比較平滑,同ReLU一樣是單邊抑制,有寬廣的接受域(0,+inf), 但是由於指數運算,對數運算計算量大的原因,而不太被人使用。
ReLU的缺點:
1.壞死: ReLU 強制的稀疏處理會減少模型的有效容量(即特徵禁止太多,導致模型無法學習到有效特徵)。由於ReLU在x < 0時梯度為0,這樣就導致負的梯度在這個ReLU被置零,而且這個神經元有可能再也不會被任何數據激活,稱為神經元“壞死”。
2.無負值: ReLU和sigmoid的一個相同點是結果是正值,沒有負值。
Leaky ReLU
指數線性單元
指數線性單元
指數線性單元
指數線性單元當時,,其中非常小,這樣可以避免在時,不能夠學習的情況:
指數線性單元
指數線性單元稱為Parametric Rectifier(PReLU),將作為可學習的參數 。
指數線性單元當從高斯分布中隨機產生時稱為Random Rectifier(RReLU);
指數線性單元當時,稱為Leaky ReLU。
優點:1.不會過擬合;2.計算簡單有效;3.收斂更快。
SELU
指數線性單元SELU是給ELU乘上係數,即:
指數線性單元