基本介紹
指數方程組是指由幾個指數方程,或至少有一個指數方程和幾個代數方程組成的方程組。解指數方程組的方法主要是三種:
1) 利用指數方程的解法,“化去”底和對數符號,化為代數方程組。或用換元法把原方程組化為代數方程組。
2) 利用過去學過的方程組解法,如代入法、加減法,相乘或相除等消元,化為含有一個未知數的方程。
3) 將以上兩種方法結合使用。
和解指數方程一樣,要注意增根或遺根問題。
例題解析
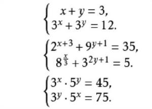
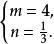
【例1】解下列方程組:
指數方程組①
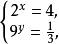
指數方程組②
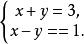
指數方程組③
解:①
指數方程組由(1),得
指數方程組把(3)代入(2)得
指數方程組即
指數方程組整理得
指數方程組解得
指數方程組或
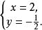
指數方程組所以
指數方程組所以,原方程組的解為
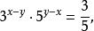
指數方程組②
指數方程組原方程組即為
指數方程組
指數方程組設 則上面方程組可化為
指數方程組解這個方程組得
指數方程組由
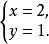
指數方程組解得
指數方程組所以所方程組的解為
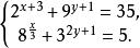
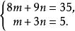
指數方程組③
指數方程組⑴×⑵得
指數方程組即
指數方程組⑴÷⑵得
指數方程組即
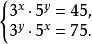
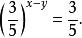
指數方程組所以原方程組可化為
指數方程組所以
指數方程組解得
指數方程組所以原方程組的解為
指數方程組
