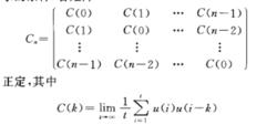
定義
若矩陣是平方可求和信號u的經驗協方差,則稱u為n階持續激勵信號.對輸人信號u加上持續激勵條件是為了能夠用最小二乘方法估計有限脈
圖片1沖回響模型
圖片2激勵信號
激勵信號也就是輸入信號,主要是減低方波頻率以及疊加電壓的方式工作。
在方波極譜中方波電壓是連續的,而脈衝極譜是在每一滴汞增大到一定時間(例如3秒)時,在直流線性掃描電壓上疊加一個10-100mV的脈衝電壓,脈衝持續時間4-80ms(例如60ms);
與頻率的關係
u(t) 為 n 階PE, 則頻率譜在區間[-pi,+pi]上至少有 n 點不為零.
2 一個 n 階PE 的信號不能被 n - 1 階滑動平均濾波器濾波為零(cannot be ¯ltered tozero). 注: 也有地方使用這個作為PE 的定義
判定方法
判定一個條件是否為持續激勵的條件如下:
判定條件套用
持續激勵與確定學習算法的性能關係:
通過採用徑向基函式神經網路,一套針對非線性系統辨識以及動態模式識別的確定學習理論被提出了。基於該確定學習理論,得到以下結論:
(i)學習速度隨著持續激勵水平的增加而得到提升;
(ii)存在一最優學習速度;
(iii)學習精度也隨著持續激勵的增加而得到提高,特別的,當持續激勵水平足夠大時,局部準確學習效果將可以達到所需精度的水平,然而當持續激勵水平較低時,將會導致學習性能的惡化。

