簡介
拉格朗日鬆弛技術(Lagrangian relaxation technique)
拉格朗日鬆弛技術是用以求解約束規劃的一種數學方法。
算法最佳化的鬆弛技術
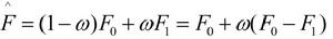
在實際計算中常常可以獲得目標值F*的兩個相伴隨的近似值F0與F1,為將其加工成精度更高的結果,取二者的某種加權平均值作為改進值,適當選取權係數來調整校正量,正是由於這種基於校正量的調整與鬆動,稱之為鬆弛技術。
對原有值進行改進的鬆弛技術拉格朗日鬆弛方法
基本原理將目標函式中造成問題難的約束吸收到目標函式中,並保持目標函式的線性,使問題更加容易求解。
最佳化目的在一些組合最佳化中,在原問題中減少一些約束,使得問題的求解難度大大降低(稱這類約束為難約束)。
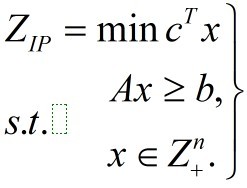
基於規劃論的鬆弛方法給定整數模型:


1.可行解區域兼容:其中S為原整數規劃問題的可行域


當原整數規劃問題為:


