基本介紹
積分的概念可從不同的觀點出發向各種不同的方向抽象化。它大致可以分為兩個方向,一個方向是對取值於局部凸拓撲線性空間(不一定是數空間)的函式或測度定義積分(簡稱為在拓撲線性空間上的積分),另外一個方向是把和序關係有關的積分抽象化。下面對各方向取其有代表性的兩個積分予以敘述。
拓撲線性空間上的積分
抽象積分
抽象積分
抽象積分拓撲線性空間上的積分(Bochner積分)設為定義在有限測度空間上,取值於Banach空間X中的函式,如果在使
抽象積分
抽象積分
抽象積分
抽象積分
抽象積分
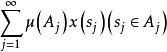
抽象積分的互不相交的F可測集上,x(s)分別取常量,就稱它為 階梯函式(step function)或 有限值函式(finite-valued function)。使用的定義函式,可以把這個階梯函式表示為
抽象積分
抽象積分
抽象積分如果對於能選取適當的階梯函式序列,使得在S上對幾乎一切s,
抽象積分
抽象積分
抽象積分
抽象積分
抽象積分
抽象積分
抽象積分
抽象積分成立,則稱為 強可測的(strongly measurable)。當為強可測,且作為S上的實值函式為Lebesgue可積時,則定義為 Bochner可積的(Bochner integrable)(由的強可測性可以得到的可測性)。特別當是Bochner可積的階梯函式
抽象積分時,其Bochner積分定義為
抽象積分
抽象積分
抽象積分一般地說,對於Bochner可積函式,可以證明,存在滿足下列條件的Bochner可積的階梯函式序列:
i)對幾乎一切S,
抽象積分ii)
抽象積分
抽象積分
抽象積分
抽象積分
抽象積分
抽象積分
抽象積分
抽象積分
抽象積分
抽象積分
抽象積分
抽象積分
抽象積分
抽象積分(例如,由的強可測性得到,存在階梯函式序列,對幾乎一切s,它強收斂於,對此,如下地定義階梯函式序列:當時,令;當時,令;則滿足上述條件i),ii)。)從而對於這樣的強收斂,且其極限不依賴於的選擇方法。而的Bochner積分(Bochner integral),就定義為
抽象積分
抽象積分
抽象積分
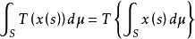
抽象積分為了和其他積分加以區別,有時把Bochner積分寫作。Bochner可積函式在任意的F可測集上都是Bochner可積的,除此之外,Lebesgue積分的幾乎所有性質(線性,完全可加性,絕對連續性,Lebesgue收斂定理,Fubini定理等),把絕對值換以範數之後都照樣成立。但是Radon-Nikodym定理不成立。當T是由Banach空間X到Banach空間Y的連續線性運算元時,若S上取值於X中的函式是Bochner可積的,則作為S上取值於Y中的函式是Bochner可積的,且
抽象積分成立。特別當S是n維Euclid空間時,Bochner積分具有強可微性 。
Birkhoff積分
抽象積分
抽象積分
抽象積分
抽象積分
抽象積分
抽象積分
抽象積分
抽象積分Birkhoff積分是關於在有限測度空間上定義的,在Banach空間X中取值的函式,按Lebesgue積分的構造方法定義的積分。首先,對於X的元的可列族,當級數在其各項的次序任意改變之後仍然強收斂時,稱為無條件收斂(unconditionally converge)。當無條件收斂時,可以證明,它的和不依賴於相加的順序,總是一定的。特別當X是數空間時,無條件收斂和絕對收斂的概念是一致的;但一般地說,無條件收斂的級數並不一定絕對收斂(絕對收斂是指收斂)。給定S的一個可列分割
抽象積分
抽象積分
抽象積分若函式在每個上有界且
抽象積分
抽象積分
抽象積分無條件收斂,則稱關於可求和,此種和的全體
抽象積分
抽象積分
抽象積分
抽象積分
抽象積分
抽象積分
抽象積分
抽象積分
抽象積分
抽象積分
抽象積分
抽象積分的凸閉包,稱為對於△的 積分值域(integral range),記作。於是,如果對任意的正數,可選取S的可列分割△,使關於△可求和,且的直徑小於,則稱為 Birkhoff可積的(Birkhoff integrable)。若關於某一可列分割△可求和,則可以證明,它對△的任一加細仍然是可求和的,且。從而當是Birkhoff可積時,
抽象積分成為只含有X的一個點的集合。此
抽象積分
抽象積分定義為的 Birkhoff積分(Birkhoff integral),寫作
抽象積分或簡寫為
抽象積分Birkhoff可積函式在任意的F可測子集上仍為Birkhoff可積函式。Birkhoff積分作為集函式具有完全可加性和絕對連續性,對於被積函式具有線性性質。但Fubini定理不成立。又對於收斂定理來說不能得到Bochner積分那樣好的結果,Bochner可積函式必是Birkhoff可積的,但其逆不成立。
以此Birkhoff積分的構造法為基礎,G.Birkhoff和R.S.Phillips對取值於局部凸拓撲線性空間中的函式的積分作了定義。用此種積分的理論,使得Birkhoff積分成為這種積分基於在Banach空間上引人拓撲的方法,不同而得到的特殊情形。 進一步C.E.Rickart把Birkhoff積分推廣到取值為局部凸拓撲線性空間的子集的函式,並求得了Radon-Nikodym定理 。

