理論體系
房地產經濟學是多學科的交匯,所以涉及的理論不僅多且複雜:大體可分為相互關聯相互依從的三個層面:
一是核心理論層如地租理論、房價理論、區位理論等;
二是直接支配房地產運行的一般理論或內層理論,如房地產投資、房地產開發建設、房地產市場等理論;
三是間接影響房地產經濟運行的外延交叉理論,如外部性理論、巨觀經濟周期理論、泡沫經濟理論、產業經濟學理論、制度經濟學理論等。這種分類不一定嚴密科學合理,其目的在於凸顯不同理論在支配和影響房地產經濟運行時其地位和作用的不同,在揭示和反映房地產經濟運行的特點和規律時也會有差異。
地租理論
地租是指土地使用者租用土地所付的租金。地租理論是研究存在地租時的經濟規律的理論。現代地租理論與古典地租理論的觀點基本相同。
以李嘉圖、穆勒等為代表古典地租理論認為,地租產生的原因,是不同等級土地生產的商品產量存在差異。優等地上的級差地租等於土地上的商品帶來的收入與成本之差。
例如,肥沃的土地小麥產量1000公斤/畝,貧瘠的土地小麥產量500公斤/畝。肥沃土地、貧瘠土地生產小麥的成本都是500元/畝。小麥價格由貧瘠土地生產成本決定,為1元/公斤。從而,肥沃土地產生利潤為
1000元/畝- 500元/畝= 500元/畝
這500元將變成肥沃土地的地租。
房價理論
房價理論研究的房屋價格形成和變動規律的理論,房價理論的重點,是城市房價理論。
當前城市房價理論包括房價基本理論、特徵價格理論和收益模型理論。
房價基本理論
房價基本理論奠基人是華人經濟學家,《亞洲經濟評論》主編汪林海。房價基本理論中,住房的有用性指消費者對住房的大小、裝修、地段等各種因素的綜合評價,在價格相同的情況下,消費者購買住房時,儘可能選擇有用性高的住房。劣等住房是指建在最差的地段上的住房,一般情況下,劣等住房就是城市邊緣的住房。
汪林海認為,房產市場完全競爭時,城市中某套住房的價格受到三個因素的影響:該套住房的有用性,城市邊緣住房(劣等住房)的有用性,城市邊緣住房(劣等住房)的生產成本。城市中某套住房的價格P與該套住房有用性U成正比,與城市邊緣的住房的有用性U0成反比,與城市邊緣的住房的生產成本C0成正比。
房地產經濟學[經濟學分支學科]房價基本理論用一個公式來表示,就是:
上式中,P為某套住房的價格,U為該套住房的有用性,U為劣等住房(城市邊緣的住房)的有用性,C為城市邊緣的住房的生產成本。
特徵房價理論
特徵價格理論以Kain and Quigley(1970),Wabe (1971),Evans(1973),Anderson和Crocker (1971)、Henry M. K. Mok等(1995)、Piyush tiwari(2000)、Sibel Selim(2008)等為代表。以Lancaster (1966)的消費者理論和Rosen(1974)的特徵價格理論為理論基礎的特徵價格模型(Hedonic Price Model),是近幾十年來房價模型的主流模型之一。
特徵價格模型的思路是:住房由於具有各種滿足消費者需要的特徵,從而能按照某一價格出售(Rosen,1974),住房之間的價格差異來源於住房之間的特徵的差異(Chin T. .L.,Chau K.W., 2003),從而,可把住房的特徵作為解釋變數,把住房的價格作為被解釋變數,採用數學工具(統計學)建立房價數學模型。用計量經濟學模型來描述,就是:
房地產經濟學[經濟學分支學科]上式中,P為某住房的價格,Z為住房的特徵向量(住房的交通、治安、教育、裝修、新舊程度等),ɛ為隨機誤差項。
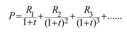
收益價格模型理論
房地產經濟學[經濟學分支學科]收益模型理論認為房價是住房預期收益(即房租)的折現。收益模型為:
其中,P為房價,R1,R2,......,為歷年的房租,t為利息率。
區位理論
區位理論是揭示人的活動空間以及活動空間之間的聯繫的理論。歷史上的區位理論包括農業區位理論、工業區位理論、中心理論等。
農業區位理論 農業區位理論的奠基人是德國經濟學家馮·杜能,他於1826年完成了農業區位論專著——《孤立國對農業和國民經濟之關係》(簡稱《孤立國》),是世界上第一部關於區位理論的古典名著。
杜能“孤立國”假設:只有一個城市,且位於中心。城市是農產品的唯一銷售市場,而農村則靠該城市供給工業品。杜能認為:某個經營者是否能在單位面積土地上獲得最大利潤(P),將由農業生產成本(E)、農產品的市場價格(V)和把農產品從產地運到市場的費用(T)三個因素所決定,它們之間的變化關係可用公式表示為:
P=V-(E+T)
工業區位理論 業區位理論的奠基人是德國經濟學家阿爾申爾德·韋伯。其理論的核心就是通過對運輸、勞力及集聚因素相互作用的分析和計算,找出工業產品的生產成本最低點,作為配置工業企業的理想區位。韋伯認為,其他因素暫不考慮、僅考慮運輸時,工廠企業自然應選擇在原料和成品二者的總運費為最小的地方。
中心地理論 中心地理論是由德國著名的地理學家克里斯塔勒提出的。克里斯塔勒認為,大城市的商服設施和商品種類向高級發展,多而全;中等規模的城市具有中高級或僅能維持中級水平,服務項目少而不齊全;一般城鎮(縣城、建制鎮)只有基本生活性商服,水平很低,種類更少。城市內部而言,市級中心、區級中心和小區級商服中心也有類似的分異規律。
城市地域空間利用結構理論 該理論包括同心圓理論、扇形理論、多核理論。
同心圓理論認為,從城市中心向外緣依次順序為:第一環帶是中心商業區(CBD。第二環帶為過渡地帶,是圍繞市中心商業區與住宅區之間的過渡地帶。第三環帶是工人住宅區。第四環帶是高收入階層住宅區。第五環帶為通勤人士住宅區,約距中心商業區30~60分鐘乘車距離範圍內。
多核心理論最先是由麥肯齊(R.D.Mckenzie)於1933年提出的,然後被哈里斯(C.D.Harris)和烏爾曼(E.L.Ullman)於1954年加以發展。該理論強調城市土地利用過程中並非只形成一個商業中心區,而會出現多個商業中心。其中一個主要商業區為城市的核心,其餘為次核心(圖)。
主要特點
然而房地產經濟學又是多學科的交匯,具有交叉學科的性質。主要表現有:
(1)房地產經濟(學)與城市經濟(學)的交叉重疊,城市土地利用與內部空間結構、城市住房、城市經營中的土地經營等都與房地產經濟(學)有交叉重疊;
(2)與資源經濟學的交叉重疊。資源經濟學主要研究土地開發利用和土地資源合理配置,而這些同樣是房地產經濟學的研究重點;
(3)與生態經濟學的交叉重疊,房地產業的可持續發展理論與生態經濟學的生態平衡理論的一致性;
(4)房地產金融有第二金融之稱,從而把房地產經濟學與金融學緊密聯繫起來;
(5)房地產經濟學與理論經濟學的關係,這不僅表現在房地產經濟學要受理論經濟學的指導,同時還表現在土地制度、價值理論、地租理論等同屬理論經濟學和房地產經濟學研究的永恆主題等等。
研究對象和方法
關於房地產經濟學的研究對象學界論述不少,主要觀點有:
1.“城市房地產經濟學的研究對象,是城市房地產經濟的運動及所體現的經濟關係”:
2.“房地產經濟學的研究對象就是整個社會房地產業經濟運動的客觀規律”。
3.認為房地產經濟學“主要研究社會主義市場經濟條件下房地產經濟的實踐活動及其所體現的人與人之間的經濟關係”:
4.認為“房地產經濟學是一門研究房地產運動規律及其表現形式的科學”,“也是一門研究房地產資源配置效率的科學”。
前三種觀點的表述基本是從我國傳統政治經濟學的研究對象移植過來的。長期以來在學術界有一種占統治地位的觀點,認為馬克思主義政治經濟學的研究對象是生產關係或經濟關係及其運動規律;西方經濟學的研究對象是資源配置,並且把二者完全對立起來。其根據之一是馬克思曾在著作中多處說過,“政治經濟學,從最廣的意義上說,是研究人類社會中支配物質生活資料的生產和交換的規律的科學”;“經濟學所研究的不是物,而是人與人之間的關係”,或類似的話。根據之二是西方學者對經濟學的定義,即“經濟學是研究人和社會如何進行選擇,來使用可以有其他用途的稀缺的資源以便生產各種商品,並在現在或將來把商品分配給社會的各個成員或集團以供消費之用”。還有的西方學者說,經濟學是“研究人們如何分配他們有限的資源來滿足人們的需要的科學”。其實只要我們不完全停留在馬克思對政治經濟學研究對象的表述上,而看他實際研究的內容,就會發現他對資源配置的研究也很多,並且很精彩,比如他的兩部類再生產理論模型,第二種含義的社會必要勞動理論和勞動資源配置理論等?他曾說:“要想得到和各種不同的需要量相適應的產品量,就要付出各種不同的和一定數量的社會總勞動量:這種按一定比例分配社會勞動的必要性,決不能被社會生產的一定形式所取消,而可能改變的只是它的表現形式 ”同樣對西方經濟學不只是看它的某一流派,而是著眼於整個西方經濟學,其中有的流派也研究資本主義經濟關係,如制度經濟學:至於他們的研究出發點和方法有何不同,那是另一個問題。
幾點問題
房地產經濟學既研究經濟關係,也研究資源配置。但是,有兩點值得一提:一是關於資源配置與經濟關係研究以誰為基礎的問題,我們認為應通過資源配置研究來揭示和反映經濟關係和經濟規律;二是相對於政治經濟學等理論經濟學來說,房地產經濟學等部門經濟學更側重資源配置的研究,包括行業內外資源配置:外部資源配置主要是講產業地位及其與國民經濟的關係;內部資源配置有多層含義:其一是住宅房地產與非住宅房地產之間的比例,其二是非住宅房地產所涉及的不同行業資源的配置,其三是同一房地產中各類檔次比例,如住宅高、中、低檔的比例?
總結
總結前面的分析,我們認為,房地產經濟學的研究對象是行業內外資源配置及其所體現的經濟關係和運行規律。
房地產經濟學的研究方法除了常規定性與定量分析、規範分析與實證分析以及比較分析等方法外。還可運用經濟學前沿分析方法“博弈論”。
套用參考價值
房地產經濟學是房地產經濟活動的理論化系統化,它不僅可以供教學用,供理論研究工作者參考,同時對實際工作者,尤其是主管領導者和決策者有重要的學習套用參考價值。這主要有以下幾方面:
(1)房地產經濟學是一個多層次的理論結構體系,並且是多學科交叉,學習套用時要從多角度多層面來把握,立體地分析房地產經濟運行實際,規避風險,作出科學合理的判斷和決策,這樣可以避免或少出失誤。
(2)房地產經濟學除了具有經濟學的一般原理特徵外,還有自己明顯的特點。如房地產發展倒U曲線理論,即經濟起飛國家初始階段房地產發展建設,隨著國際經濟的進一步發展,房地產發展速度,逐漸與國民經濟發展同速,甚至低於國民經濟發展速度,其發展運行軌跡呈倒U型。又如住宅市場發展三個階段的理論,即以生存需求為主,改善需求為輔的初級階段;生存需求和改善需求並重的第二階段或中級階段;以改善需求為主,生存需求為輔的成熟階段:還有房和地產權耦合的特點等:掌握這些很重要,可以取得出其不意的效果。
(3)房地產經濟學是以房地產市場體系(如上圖)為依託,因此,學習和運用房地產經濟學要有全局觀點,總觀整個房地產市場體系,分析判斷其中的薄弱環節,並找出相應的對策。對主管部門來說,有利於合理配置資源,促進房地產市場的平衡協調發展;對開發經營者來說,有利於投資活動的順利推進,提高投資的周轉速度和回報率。
(4)房地產經濟學中對房地產政策和法律環境有較充分的論述,可供管理決策層學習套用,對提高他們的政策法律水平、規範管理有很大的幫助,有利於樹立企業誠信形象,從而推動整個房地產業的健康有序發展。
(5)房地產經濟學中有相當多的國際比較研究和國際經驗介紹。通過對這方面理論知識的學習,對借鑑國外經驗,提高中國房地產業經營管理水平和發展涉外房地產都有重要的作用。
![房地產經濟學[經濟學分支學科] 房地產經濟學[經濟學分支學科]](/img/1/ba5/nBnauM3XwMTO3ETMxkDOyUTN1UTM1QDN5MjM5ADMwAjMwUzL5gzLyczLt92YucmbvRWdo5Cd0FmLxE2LvoDc0RHa.jpg)
