基本介紹
定義1 若將實數集R分成兩個子集S和T,它們滿足:
戴德金原理(1);
戴德金原理(2);
戴德金原理(3),總有x<y(稱S為左集,T為右集)
則稱為實數集R的一個“ 戴德金分劃”,記作(S,T) 。
“戴德金分劃”的第一條要求是左集S與右集T都不是空集,也就是說它們中都有實數,簡稱為不空。第二條要求是S和T包含了所有的實數,換句話說,對於任何一個實數或者屬於左集S或者屬於右集T,二者必居其一,簡稱為不漏。第三條要求是左集S中的實數都比右集T中的實數小,簡稱為不亂。由第三條可以推知左集中的實數不會在右集中出現,右集中的數也不會在左集中出現。若x屬於左集,凡小於x的實數也都屬於左集,若y屬於右集,凡大於y的實數也都屬於右集。
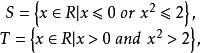
例如令
戴德金原理讀者可以驗證(S,T)是一個戴德金分劃,再如令
戴德金原理S={x∈R | 存在自然數n,使},
T={x∈R | x≥1}。
這也確定了一個戴德金分劃(S,T)。
戴德金原理
戴德金原理第一個戴德金分劃中,左集S有最大數,而右集T沒有最小數;第二個戴德金分劃正相反,左集S沒有最大數,而右集T有最小數1。和1都叫做相應的戴德金分劃的中介點。一般說來,實數上的戴德金分劃必有中介點,下面的定理便說明這一點,而在有理數集上若類似地作一個戴德金分劃就不一定有中介點了。例如若令S={x∈Q | x≤0,或x ≤2),T={x∈Q | x>0,且x >2)則(S,T)構成對有理數集Q的戴德金分劃,但左集S無最大數;右集T無最小數,也就是(S,T)沒有中介點 。
戴德金原理戴德金原理 實數集R的任一戴德金分劃(S,T),都唯一地確定一個實數(稱為中介數或中介點),它或者是S的最大數(此時T中無最小數)、或者是T的最小數(此時S中無最大數)。
戴德金原理的證明
戴德金原理
戴德金原理
戴德金原理
戴德金原理
戴德金原理
戴德金原理
戴德金原理
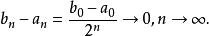
戴德金原理在S中任取一數,T中任取一數b,由戴德金分劃的“不亂”性質,,閉區間的左端點屬於S;右端點屬於T,這樣的閉區間稱為入選區間,把二等分,設中點為c,則中必有一個且只有一個是入選區間,把它記作,再把二等分,而得到第三個入選區間,……這樣進分下去,便能得到一個入選區間組成的序列
戴德金原理因為這是逐一二等分得到的序列,所以
戴德金原理
戴德金原理可見序列(1)是一個退縮閉區間套,據退縮閉區間套定理,存在唯一實數,使
戴德金原理
戴德金原理下面證明便是中介點 。
戴德金原理
戴德金原理設,如果不是S的最大數,則必存在實數r∈S,使
又由於對每個n,b∈T,而r∈S,所以
戴德金原理
戴德金原理由於,故對充分大的n,必有
戴德金原理
戴德金原理對於端點滿足(5)式的閉區間,必有
戴德金原理即
戴德金原理
戴德金原理否則,如果,與(3),(4)兩式聯立起來,將有
戴德金原理
戴德金原理
戴德金原理
戴德金原理將得到,與(5)式矛盾。但(6)式是與(2)式矛盾的。這個矛盾說明假設不是S的最大數是不對的,必為S之最大數。
戴德金原理
戴德金原理
戴德金原理
戴德金原理
戴德金原理
戴德金原理
戴德金原理
戴德金原理
戴德金原理S中有最大數,T中必無最小數,否則,若T中有最小數,則。由實數之稠密性,存在實數,使,但既不是S中的元素(因>S中的最大數),又非T中的元素(因<S中的最小數)這與戴德金分劃的“不漏”性質()矛盾。
戴德金原理
戴德金原理再設∈T,同理可證必為T中之最小數,且S中無最大數。
戴德金原理
戴德金原理
戴德金原理
戴德金原理
戴德金原理
戴德金原理
戴德金原理以上證明了每個戴德金劃分必有中介點,至於中介點的唯一性則是顯然的,若不然,有兩個中介點,那么當屬於S時,由於T中無最小數,所以不屬於T,由此可知屬於S,但S中的最大數當然只能有一個,所以。當屬於T時可同理得。

