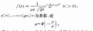
截尾常態分配(truncated normal distribution)常態分配的一類變換,指取正值條件下,常態分配的條件分布,其密度函式為
截尾常態分配其中 Φ為N(0,1)的分布函式。
截尾常態分配的失效率是遞增的.
截尾常態分配(truncated normal distribution)常態分配的一類變換。
截尾常態分配(truncated normal distribution)常態分配的一類變換,指取正值條件下,常態分配的條件分布,其密度函式為
截尾常態分配其中 Φ為N(0,1)的分布函式。
截尾常態分配的失效率是遞增的.
對數常態分配 2145.10.1 非截尾試驗失效數據 2155.10.2...) 191.3.7 常態分配模型 191.3.8 對數常態分配模型 221.3.9... 1694.3.2 指數分布 1704.3.3 瑞利分布 1714.3.4 常態分配...
內容簡介 目錄信息0時被觀察到,取值為 ,小於等於0時在0處截尾, 是自變數向量, 是係數向量,誤差項 獨立且服從常態分配: 。該模型也可以作如下簡化表達: Tobit模型 用最小二乘法估計含有截尾數據的模型參數會產生偏差,且估計量...
基本概念 Tobit模型的最大似然估計 Tobit模型的半參數估計§1.2Weibull及Gumbel分布的擬合優度檢驗§1.3正態及對數常態分配的擬合優度...指數分布樣本異常值的檢驗§2.2常態分配樣本異常值的檢驗...§3.4截尾樣本時,正態型、對數正態型產品的可靠性評定§3.5威布爾...
內容介紹 作者介紹 作品目錄、韋布爾分布、對數常態分配和伽瑪分布等(見機率分布)。其中以指數分布最為...截尾數據。如從現場收集的壽命數據,由於在統計時某些產品尚未失效,或因多種...或在失效的樣品達到規定數目時終止試驗。這種試驗稱為截尾試驗,前者稱為定時...
壽命試驗3.1.2 截尾壽命試驗3.1.3 加速壽命試驗3.1.4 壽命試驗注意事項§3.2 指數分布中的參數估計3.2.1 定數截尾試驗場合3.2.2 定時截尾試驗場合3.2.3 有替換場合3.2.4 有替換定時...
內容簡介 目錄§1.2.5對數常態分配 §1.2.6截尾常態分配 §1.3離散型壽命...
圖書信息 內容簡介 目錄 前言受試樣品全部失效就要結束,即大部分壽命試驗都是截尾試驗。根據試驗截尾方式...可分為四種:①無替換定時截尾試驗;②有替換定時截尾試驗;③無替換定數截尾試驗;④有替換定數截尾試驗。在電子產品壽命試驗中,最常用的壽命分布為...
電子產品可靠性試驗 正文分布2.3.1伯努利試驗和二項分布2.3.2泊松分布2.3.3常態分配2.3.4對數常態分配2.3.5威布爾分布2.3.6指數分布2.3.7幾種...的計算方法6.4機械零件的可靠度計算6.4.1應力分布和強度分布都為常態分配時...
出版信息 內容簡介 前言 目錄的SPRT方法 2.2.2 SPRT的優缺點分析 2.2.3 常態分配和... 序貫網圖檢驗法(SMT) 2.3.2 序貫截尾檢驗法... 2.3.5 Bayes序貫網圖檢驗法 .2.4 序貫截尾檢驗...
內容簡介