簡述
圖1、2應力路徑法是用應力路徑表示建築工地現場在施工前、施工期間及完工後地基內部的應力變化情況。它既考慮了瞬時沉降又考慮了主固結沉降,儘可能多地考慮了影響地基變形的因素,較之其他的計算方法更符合實際情況。
傳統的沉降計算法常常以圖1或圖2為依據,例如Duncan-Chang-Kulhaway模型是以圖1為依據的,主要考慮剪下變形;而分層總和法是以圖2為依據的,只考慮壓縮變形,然而這兩種變形在地基土中都是客觀存在的,剪下變形使地基土的模量隨著剪應力的增大逐步減小;壓縮變形使土體進一步固結,地基土模量不斷增大,因此合理的計算方法應同時考慮這兩種變形的作用。
已有的本構關係模型對各種應力路徑的適應性是不同的。研究表明,絕大多數模型只能適應一定範圍的應力路徑變化,即使是常用的Duncan-Chang-Kulhaway模型也只對常圍壓的應力路徑表現出很好的適應性。在一般工程條件下,土體因其所處的位置的不同而經受不同的應力路徑,且在載入過程中應力路徑也是變化的,所以應力路徑的變化應在地基模型中加以考慮。
地基沉降計算
室內試驗模擬現場有效應力路徑法計算
按照計算所得的應力路徑在應力控制式三軸儀上進行三軸試驗,由於從施工到通水歷時很長,所以試驗時,始終打開排水閥,為固結排水剪。利用百分表測出土樣最終的豎向應變數,然後將實測豎向應變乘以土層厚度,即得該層的沉降,各層沉降累加即得地基的沉降量。
應力-應變等值線法計算
應力-應變等值線法的原理是:通過一系列三軸固結不排水剪下試驗得到等軸向應變圖,將由彈性理論計算得到的總應力路徑轉化成有效應力路徑畫在等軸向應變圖上,最後不排水加荷階段的豎向應變就可直接從軸向應變等值線中求得,固結期間所發生的體積應變可以從常規固結試驗導得。該法可以分清瞬時沉降和固結沉降兩組成部分。
結論
1.室內試驗模擬現場有效應力路徑法計算所得結果最接近實測值,這是因為它儘可能多地考慮了影響沉降的因素,可以直接根據試驗結果推估地基最終沉降量。因此是種很符合實際的沉降計算法,建議在工程實踐中多採用該方法。
2.應力-應變等值線法計算所得結果是室內試驗模擬現場有效應力路徑法計算所得結果的1.5倍,偏大,這主要是由於其計算中假設過於理想化,精度受一定影響,故一般適用於初始預估地基沉降,且可分清初始沉降與後期固結沉降兩個階段,以供與實測沉降-時間曲線對照。
分析路堤穩定性
問題提出
近年來隨著交通事業的發展,在軟土地區修建高級公路已日益增多。路堤穩定性分析是路堤設計的一項重要內容。常用方法有:圓弧滑動面法、許可塑性變形區法。實踐中,路堤的填料既不可能一次瞬時施加,也不可能填完一層料以後,讓地基有足夠時間進行固結。這種逐層鋪設、填築時間上的間歇過程,構成了路堤穩定性分析的複雜性。路堤穩定與否,這不僅取決於路堤高度、地基土的性質,而且還與載入速率、排水條件有關。
層狀地基固結度的計算
用應力路徑法分析時, 需要求解任意時刻、地基內各點的固結度。
用應力路徑法分析路堤的穩定性
圖3應力路徑法是以摩爾一庫侖強度理論為條件,在p'-q坐標系中,作一根連結在不同初始固結壓力條件下、各個破壞狀態應力圓上最大剪應力點的K線,那么,在荷載作用下,地基內某一點的兩種應力路徑,即有效應力路徑(ESP)和總應力路徑(TSP)於圖3所示。
由圖可見,考慮土的固結效應後,ESP線就偏離K線,固結時間愈長,偏離愈大,抗剪強度增高也就愈多。因此,根據ESP線和K線的位置,便可判別某一點土所處的狀態。
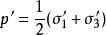
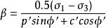
引入係數β,
應力路徑法
應力路徑法式中,;σ'、σ'分別是有效的最大和最小的主應力。
β>1,土處於破壞狀態;β=1為極限狀態;β<1為穩定狀態。
值得指出,在其它條件不變的情況下,由於p'值與加荷速率有關,載入愈快、p'值愈小,即β值愈大。因此,β值也就能反映出路堤施工時的固結效應。用應力路徑法分析路堤穩定性時,能把地基中各點應力狀態隨時間的演變過程加以反映,所以工程技術人員可通過它和根據路堤穩定性的要求,定出一個合理的填料施工速度。
結論
1. 用有限差分法進行考慮固結效應的路堤穩定性分析時, 選用合適的差分格式是十分重要的。計算表明, 層狀地基、變格線體系的交替方向隱式差分方程表達式, 具有格線劃分靈活、計算時間短、存貯量小和便於編制計算程式等優點。
2. 用應力路徑法分析路堤時, 不但能考慮填築過程中地基土的固結效應對路堤穩定性的影響, 而且也能全面反映土體內部應力路徑隨時間的變化過程。它為制定合理的施工速率和確定路堤下軟土地基亞待加固處理的範圍提供可靠的依據, 是路堤穩定性分析的一種有效方法。
