基本信息
中文名稱:微晶纖維素PH101
英文名稱:Microcrystalline Cellulose PH101
英文別名:Avicel PH 101; Celex PH101; cellulose-gel PH101; Celphere PH101; Ceolus-KG PH101; crystalline-cellulose PH101; E460 PH101; Emcocel PH101; Ethispheres PH101; Fibrocel PH101; Pharmacel PH101; Tabulose PH101; Vivapur PH101.
化學:Cellulose PH101
CAS註冊:[9004-34-6]
唯一成分標識(UNII):OP1R32D61U
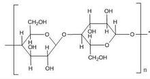
分子:(C6H10O5)n n n≈220
分子量:≈36000
微晶纖維素PH101分子結構:
功能與套用
吸附劑;助懸劑;片劑和膠囊的稀釋劑;片劑的崩解劑[1]。微晶纖維素PH101適用於濕法制粒。
給藥途徑
據美國IIG資料庫收載,本品可用於口服。
穩定性和貯藏條件
本品有吸濕性,而穩定的物質。大批量貯藏須在陰涼乾燥的環境置於密閉性容器中 。
安全
本品廣泛套用在口服藥物製劑和食品中,是相對無毒和無刺激性的物質。 本品口服後不吸收,幾乎沒有潛在的毒性。大量使用可能會引起輕度腹瀉,作為藥劑輔料無困難。 濫用含有纖維素的某些片劑,如吸入或注射給藥,都會導致纖維素肉芽腫 。
配伍禁忌
本品對強氧化劑有配伍禁忌 。
來源與制
微晶纖維素可用稀無機酸溶液將α-纖維素控制水解製得,α-纖維素可從含纖維素的植物的纖維漿製得。水解後,水解纖維素經過濾、提純,水漿噴霧乾燥形成乾的,粒徑布廣泛的多孔顆粒 。
管理情況
已列入GRAS。歐洲準許作為食品添加劑。已收載於FDA的《非活性組分指南》中 (吸入劑;口服膠囊;顆粒劑;混懸劑;糖漿劑;片劑;局部和陰道給藥)。英國準許用於非注射製劑 。

