復指數信號
當指數信號的指數因子是複數時,稱之為復指數信號,其數學表達式為:
復指數信號
復指數信號
復指數信號
復指數信號其中 , 為複數s的實部, 是其虛部。K一般是實數,也可以是複數,其定義域為(-∞,+∞)。藉助歐拉公式展開,可得
復指數信號
復指數信號此結果表明,一個復指數信號可分為實、虛兩部分。其中,實部包含餘弦信號,虛部則為正弦信號。指數因子實部 表征了正弦與餘弦函式振幅隨時間變化的情況:
復指數信號(1)若 >0,復指數信號的實部、虛部為增幅正弦信號;
復指數信號(2)若 <0,復指數信號的實部、虛部為衰減正弦信號;
復指數信號
復指數信號指數因子的虛部 則表示正弦與餘弦信號的角頻率,特殊情況是:
復指數信號(1)當 =0,即s為虛數,則原公式可寫成虛指數信號形式,即為等幅正弦信號。虛指數信號的一個重要特性是具有周期性,其周期為2π/ω;
復指數信號(2)當 =0,即s為實數,則復指數信號成為一般的指數信號;
復指數信號
復指數信號(3)若 =0且 =0,即s=0,則復指數信號的實部和虛部都與時間無關,成為直流信號。
雖然實際上不能產生復指數信號,但是它概括了多種情況,可以利用復指數信號來描述各種基本信號,如直流信號、指數信號、正弦或餘弦信號以及增長或衰減的正弦與餘弦信號。復指數信號的微分和積分仍然是復指數信號,利用復指數信號可使許多運算和分析得以簡化。在信號分析理論中,復指數信號是一種非常重要的基本信號。
復指數信號:e^(jwt),根據歐拉公式e^(jwt)=cos(wt)+jsin(wt)。於是|e^jwt|=cos^2(wt)+sin^2(wt)=1,即一個周期復指數信號e^jwt的絕對值的平方等於1。如果把這個函式作為控制系統的輸入函式,那么一想便知系統的輸出也應當是一個複數:根據複數相等實部實部相等、虛部虛部相等的原則,那么輸出的實部與輸入的實部:cos(wt)相對應;輸出的虛部與輸入的虛部:sin(wt)相對應。這有一個好處:輸入一個復指數函式就同時解決了系統輸出的振幅和相位的問題:因為輸出的振幅等於回響實部的平方與虛部的平方和的開方;而輸出的相位等於回響虛部與實部的比值的反正切。對於線性控制系統輸入是正弦的輸出也是正弦的,且周期不變。
相關介紹
直流信號
直流信號的數學表達式為f(t)=A其中,A為實數,其定義域為(-∞,+∞),若A=1,則稱之為單位直流信號。
正弦信號
正弦信號的數學表達式為f(t)=Acos(ωt+φ)其中,A、ω、φ分別稱為正弦信號的振幅、角頻率、初相位,且均為實數。其定義域為(-∞,+∞)。正弦信號具有如下性質:
(1)正弦信號是無時限信號。
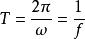
(2)正弦信號是周期信號,其周期T=2π/ω。
(3)正弦信號的微分仍然是正弦信號。
復指數信號(4)正弦信號滿足如下形式的二階微分方程,即
指數信號
復指數信號指數信號的數學表達式為
其中,A和α是實數,其定義域為(-∞,+∞),係數A是t=0時指數信號的初始值,當A
為正實數時,若α>0,則指數信號的幅度隨時間增長而增大;若α<0,則指數信號的幅度
隨時間增長而衰減;在α=0的特殊情況下,信號不隨時間變化而變化,而成為直流信號。
正弦信號
復指數信號正弦信號是指具有下列表達式形式的一類信號的總稱,即
復指數信號其中,A為振幅;ω是角頻率;θ稱為初始相位,這三個參數稱為正弦信號的三要素。正弦信號是周期信號,其周期T與角頻率ω和頻率f滿足下列關係:
抽樣信號
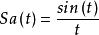
復指數信號抽樣信號用符號Sa(t)表示,公式:
抽樣信號具有如下性質;
(1)它是一個偶函式;
(2)當t=kπ,k是非零整數時,函式值等於零;
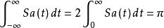
復指數信號(3)Sa(t)曲線下的面積為π,即
復指數信號(4)在t=0時存在一個重要的極限,即
復指數信號與Sa(t)信號類似的是sin(t)信號,它的定義是
可以看出,Sa(t)信號與sinc(t)信號沒有本質的區別,它們只是在時間尺度上有所不同,所以有些書籍將這兩種符號通用。
抽樣信號是理想低通濾波器的單位衝激回響波形。在從連續信號抽樣變為離散信號過程中,可以認為信號是以抽樣信號Sa(t)為基本信號的一種分解。

