簡介
後向反射器設計用於將通過接頭輸入的光從光纖中向後反射。它們可以用於產生一個光纖干涉儀或用於構建一個低功率光纖雷射器。這些後向反射器極其適合用於準確測量發射機、放大器和其它器件的後向反射規格。
光纖後向反射器具有單模(SM)、保偏(PM)或多模(MM)光纖這幾種版本。光纖插芯的一端有一層保護層的銀膜,可以為450 nm到光纖波長上限的範圍內提供≥97.5%的平均反射率。末端封裝在Ø9.8 mm(0.39英寸)的不鏽鋼外殼中,上面刻有部件型號。套管的另一端接有一個FC/PC(可以是SM、PM或MM光纖)或FC/APC(可以是SM或PM)的2.0 mm窄鍵接頭。對於PM光纖,窄鍵與其慢軸對準。
每一根跳線都包含一個保護帽,防止灰塵或者其它污染物附著在插芯末端。額外的CAPF塑膠光纖保護帽和FC/PC和FC/APCCAPFM金屬螺紋光纖保護帽需要單獨購買。
跳線可以通過匹配套管進行耦合,它可以將後向反射最小化,並保證光纖的可連線末端之間能夠有效對準。
原理
通過三次全內反射(TIR),圖像或者光線將沿原入射方向反向出射。即使入射角度不是零度,圖像或者光線仍將被180°反射。對入射角的不敏感特性,使其成為實現後向反射的理想光學元件。對於這些後向反射器,入射光和反射光的平行度偏差在3弧分以內。然而,除非入射光和反射光都正好照射在該稜鏡的中心位置,否則兩者將不會重疊,而是偏移一定距離。例如,如果入射光照射在距離稜鏡中心右邊3 mm的位置,那么反射光將從距離中心左邊3 mm的位置出射。此外,當反射光線經過一個實心後向反射器時,其偏振狀態也會發生變化。
分類
單模後向反射器、保偏後向反射器、多模後向反射器。
套用
光纖後向反射器在產生各種全光纖器件(如光纖干涉儀、可調後向反射器和光纖放大器等)時是十分有效的。當一個後向反射器被安裝在一段光纖的末端時,它可以將平均≥97.5%的光(從450 nm到光纖的波長上限)反射回光纖當中。這在光纖反射儀中是極其有效的,這樣一來就不需要自由空間偶合,從而實現穩定的參考臂。
採用光纖後向反射器的掃頻光源OCT系統上圖顯示了一台掃頻光源OCT(SS-OCT)干涉儀,它採用了一個光纖後向反射器。光纖耦合器(FC) 把光線分成樣本和參考臂;參考臂有偏振控制器(PC)。反射光通過環形器(CIR)直接回到探測器。SS-OCT系統採用一台掃頻光源和光電探測器,可以快速產生同類型的干涉圖。由於掃頻雷射光源的快速掃頻特性,各分立波長的高峰值功率可以用於對樣品進行照明,從而在減小光學損傷的同時產生更高的靈敏度。
採用光纖後向反射器的光纖可調後向反射器這些後向反射器的另一個實際套用為構建可調後向反射器,如上圖所示。下游後向反射器的反饋信號會引起一些器件的不穩定,如雷射二極體等。通過採用一個可調後向反射器,就可以確定器件對後向反射的靈敏度。可調衰減器可以讓用戶對器件引入標準反射。通過分析後向反射效應,用戶可以計算器件的噪聲水平、誤碼率、失真等參數。這樣有效的計算器件很容易通過一個光纖耦合器、可調衰減器和光纖後向反射器進行構建。
後向反射器和一個環形器的全光纖放大器上圖顯示了這些光纖後向反射器如何用於全光纖放大器的實例。其中,將一個光纖後向反射器置於一根摻餌光纖的末端,將光朝著入射光的方向反射回光纖中。用一個環形器直接將輸入光和放大輸出光導入其合適的光路中,這樣一來偏振控制和自由空間光耦合就不需要使用偏振分束立方體。
多模光纖
在光纖中引導光
光纖屬於光波導,光波導是一種更為廣泛的光學元件,可以利用全內反射(TIR)在固體或液體結構中限制並引導光。光纖通常可以在眾多套用中使用;常見的例子包括通信、光譜學、照明和感測器。
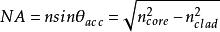
比較常見的玻璃(石英)纖維使用一種稱之為階躍折射率光纖的結構,如右圖所示。這種光纖的纖芯由一種折射率比外面包層高的材料構成。在光纖中以臨界角入射時,光會在纖芯/包層界面產生全反射,而不會折射到周圍的介質中。為了達到TIR的條件,發射到光纖中入射光的角度必須小於某個角度,即接收角,θ。根據斯涅耳定律可以計算出這個角:
後向反射器
後向反射器其中,n為纖芯的折射率,n為光纖包層的折射率,n為外部介質的折射率,θ為臨界角,θ為光纖的接收半角。數值孔徑(NA)是一個無量綱量,由光纖製造商用來確定光纖的接收角,表示為:
後向反射器對於芯徑(多模)較大的階躍折射率光纖,使用這個等式可以直接計算出NA。NA也可以由實驗確定,通過追蹤遠場光束分布並測量光束中心與光強為最大光強5%的點之間的角度即可;但是,直接計算NA得出的值更為準確。
光纖中的模式數量
光在光纖中傳播的每種可能路徑即為光纖的導模。根據纖芯/包層區域的尺寸、折射率和波長,單光纖內可支持從一種到數千種模式。而其中最常使用兩種為單模(支持單導模)和多模(支持多種導模)。在多模光纖中,低階模傾向於在空間上將光限制在纖芯內;而高階模傾向於在空間上將光限制在纖芯/包層界面的附近。
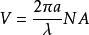
使用一些簡單的計算就可以估算出光纖支持的模(單模或多模)的數量。歸一化頻率,也就是常說的V值,是一個無量綱的數,與自由空間頻率成比例,但被歸為光纖的引導屬性。V值表示為:
後向反射器其中V為歸一化頻率(V值),a為纖芯半徑,λ為自由空間波長。多模光纖的V值非常大;例如,芯徑為Ø50 µm、數值孔徑為0.39的多模光纖,在波長為1.5 µm時,V值為40.8。
對於具有較大V值的多模光纖,可以使用下式近似計算其支持的模式數量:
後向反射器單模光纖V值必須小於截止頻率2.405,這表示在這個時候,光只耦合到光纖的基模中。為了滿足這個條件,單模光纖的纖芯尺寸和NA要遠小於同波長下的多模光纖。例如SMF-28超單模光纖的標稱NA為0.14,芯徑為Ø8.2 µm,在波長為1550nm時,V值為2.404。

