簡介
分層疊加,相互補充,構建了一張可靈活擴容彈性網路。彈性網路(ElasticNetwork)是在1987年由德賓(Durbin)和威爾蕭(Willshaw)在「自然」月刊所提出。這篇只有2頁的文章(郝伯非爾德和坦克論文足足有11頁),給人的第一印象是直覺,簡單,而有力。彈性網路是一種社交聯繫。你所有的聯繫人都顯示在縮略圖列表中,排序依據是你與此人之間聯繫的強弱。每當Color偵測到你和其他用戶在物理上接近時(即跟你在一起),這個應用程式就會調整你們兩人的關係的強度。所以當你開啟這個應用程式,並打開你的聯繫人名單時,你會看到親密的朋友和家人排在最前面。但是,如果你很長一段時間沒有看到這個朋友,他的位次就會逐漸下降,最終他的照片也會從彩色褪色為黑白。
自我組織圖的孿生兄弟
彈性網路彈性網路給人的第一印象是自我組織圖的孿生兄弟。事實上,他們的確相關。但是彈性網路比它的小兄弟速度快,所得的解也較佳。彈性網路的觀念非常簡單,就像我們在上一章所提到的柏納‧安結尼爾的研究,彈性網路是由m個點的圈形所組成的(注意:m必須比城市的數目n大)。現在,想像彈性網路是一個橡皮筋,它會自然會收斂成最小張力的狀態。現在,再把城市當具有吸引力的藍點,它會大力吸引彈性網路上的紅點。於是對於彈性網路上的每一點,都有兩股力量作用於上,如圖所示。
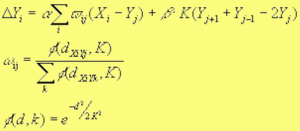
彈性網路的精髓是一組簡單的方程式(X是城市,Y是繩上的點):
彈性網路的精髓是一組簡單的方程式Elasticnet是一不斷疊代的方法。第一個式子是繩上的點每一次疊代改變的量,第一項是吸引力,第二項就是張力。第二個方程式是城市Xi對點Yj的影響。
彈性網路最妙的地方是它永遠可以產生有效解。由於它不會產生交叉的路徑,所以產生的解都相當不錯。舉例來說,對一個隨機產生的50個城市的推銷員問題,彈性網路的解只有比德賓和威爾蕭的論文中所提的最具競爭力的演算法長2%(什麼是最具競爭力的演算法?有人說是林-克尼根(Lin-Kernighan)演算法,也有人說是SA+OP)。但是彈性網路最吸引人的地方不在它的有效解,而在它收斂的速度。許多人試著去改善彈性網路收斂的速度,都有不錯的結果。舉例來說,柏爾(Burr)所提出的改良版可令50個城市的推銷員問題的收斂次數由1250大幅降為30次。一個最佳化的彈性網路的速度會比林-克尼根快兩倍。
Color創業團隊
在iPhone上使用Color應用程式
騰訊科技訊(Kathy)台北時間3月24日訊息,據國外媒體報導,Color創業團隊聚集了一些優秀的業界人才:比爾·阮(BillNguyen)曾在2009年將他的Lala公司出售給蘋果,公司總裁彼得·范(PeterPham)曾創辦過BillShrink,產品主管DJ·帕蒂爾(DJPatil)曾是LinkedIn的首席科學家。現在用戶已經可以在iPhone上使用Color應用程式了,它的Android版本也即將推出。
Color究竟是什麼
乍一看,Color就是一個移動照片應用程式,跟Path、Instagram或PicPlz差不多。你用手機拍攝快照,然後這些快照會出現在照片流中,而且Color甚至還沒有時髦的玩意來美化你的形象,讓人感覺很樸實。但Color的美妙之處在於它的與眾不同。跟Instagram和Path不一樣,Color沒有採用明確的朋友或關注系統,因此你不需要瀏覽聯繫人名單,然後再開始關注他們的照片流。Color應用程式的所有社交關係都是動態的,取決於你正跟誰在一起。你的照片對附近的所有人都是公開的。從某種意義上說,這是Twitter應用程式的照片版,即所有的時候都是公開的(忽略Twitter某些不常用的功能)。你也可以用另一種方式來看待它:Path讓你與一組親密的朋友分享照片,而Color幾乎完全與Path相反。舉例來說,假如你走進一個餐館,有20個人正在這個餐館裡。你與4個朋友坐在一起,開始聊天。然後你的朋友打開手機,啟動Color,拍下你們的照片。對任何距離拍照地點100英尺範圍內的人來說,這張照片都是公開的。因此,如果這個餐館裡有別人打開了Color,他看到的照片流中的照片都是最近在附近拍下的。在一個擁擠的地方,照片流可能會顯得有點太“喧囂”,因此Color也有某種分組功能。你告訴Color是哪4個人和你在一起吃飯,Color會創建一個臨時群,只顯示你和這幾個朋友拍的照片。但是因為所有照片都是公開的,你也可以查看其他群的照片,比如看看你旁邊那一桌人拍了什麼照片。而且你也總是可以跳轉到主照片流(它把大家拍攝的所有照片混雜在一起)。
顯示在縮略圖列表中
Color使用了一些非常有趣的技術,這讓它不僅僅是一個簡單的群組照片應用程式。首先是名為“彈性網路“的社交聯繫。這些社交聯繫非常重要。如果你在那家餐館開啟了Color,你只能看到朋友和陌生人拍的100英尺內的照片。而唯一的另一種查看照片的方式,就是你跳轉到你的社交聯繫,點選你朋友的個人資料照片,然後你就可以看到在他們100英尺內最近拍下的所有照片了。換句話說,Color是想向你顯示發生在你身邊的一切,以及發生在你關心的人身邊的一切。Color的群組功能也利用了“彈性網路”。在上面的餐館例子中,Color可能根據你以前的互動,已經知道誰是你的朋友了,它會把你們自動放在一個組裡,你就不必手動操作了。Color也利用了所有它可以利用的手機感應器。比如在地下室里,在沒有手機信號,接收不到GPS。但是該應用程式仍能正常工作,自動把坐在你周圍的人分為同一組,因為它使用了各種招數:它用手機上的攝像頭來檢查照明條件,甚至使用手機的麥克風來“聽”的周圍環境:如果兩部手機捕捉到了類似的聲音,那么他們可能離得很近。
未來計畫
總之這個一個非常有吸引力的,非常獨特的照片應用程式。但它究竟是怎么籌到了這么多資金呢?現在Color公司還處於早期階段,但它的最終計畫是為企業提供開展優惠活動和廣告的自助式平台(比如你啟動這個應用程式,看看在你周圍被拍下的照片,也可以看到今天有什麼優惠活動)。而這僅僅是開始。阮希望利用Color從根本上改變社互動動和本地發現的某些方面,他認為這是“後PC運動”的一部分。利用這個應用程式所收集的數據(記住Color會利用你的手機所有感測器),Color也許將來能夠開始推薦服務:推薦附近有趣的地方,甚至是有趣的人。但Color也存在一些問題。比如這種“偷窺”(你公開自己拍的照片,並查看陌生人的照片)性質的服務可能需要人們適應一段時間。人們有可能徹底拒絕它,或者也有可能對它十分上癮。現在實在沒有辦法說清人們究竟會有何種反應。業界人士認為,Color的未來雖然還不明朗,但是很有希望。有了這筆新的資金和27名工作人員,Color現在有足夠的時間來磨礪他們的產品。
