起源與發展
張量分析起源於德國數學家格拉斯曼的超複數理論和英國數學家哈密頓於1843年建立的四元數理論。格拉斯曼於1844年在《線性擴張論》中獨立給出n個分量的超複數,稱之為擴張的量,論述了超複數作為向量的運算法則及幾何意義,1855年又進行了總結。19世紀50年代後,黎曼、貝爾特拉米、克里斯托費爾和李普希茨等人建立並發展了微分不變數理論,為張量分析提供了基礎。1884—1894年義大利數學家裡奇創立絕對微分學理論,並套用於微分幾何和物理學的某些問題中。里奇還引入“張量”概念,論述了張量分析中的許多基本理論,有一類二階共變張量場叫做里奇張量。里奇與他的學生列維-齊維塔合著的《絕對微分法及其套用》(1901)成為張量分析的經典著作,其中指出了如何把某些偏微分方程及物理規律表示成張量的形式,以便使它們與坐標系無關。1916年愛因斯坦成功地達到這一目標,用數學不變式表達了廣義相對論。另一方面愛因斯坦的工作也促進了張量分析的發展,“張量分析”這一名稱就是他於1916年開始使用的。張量分析在20世紀上半葉由荷蘭數學家斯豪滕等人進一步發展。
符號
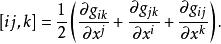
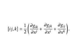
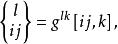
第一種克里斯托費爾符號
張量分析[微分運算的一個分支].
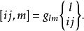
第二種克里斯托費爾符號
張量分析[微分運算的一個分支]又
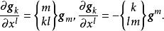
張量分析[微分運算的一個分支]克里斯托費爾符號表示基本張量的導數
張量分析[微分運算的一個分支]
張量分析[微分運算的一個分支]
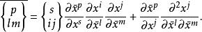
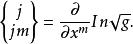
張量分析[微分運算的一個分支]克里斯托費爾符號的變換律
張量分析[微分運算的一個分支]
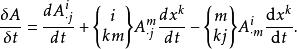
張量分析[微分運算的一個分支]矢量協變微分
基矢量的協變導數
張量分析[微分運算的一個分支]逆變矢量的協變導數
張量分析[微分運算的一個分支]協變矢量的協變導數
張量分析[微分運算的一個分支]矢量的協變導數是二階張量
張量分析[微分運算的一個分支]張量協變微分
張量分析[微分運算的一個分支]
張量分析[微分運算的一個分支]
張量分析[微分運算的一個分支]
張量分析[微分運算的一個分支]
張量分析[微分運算的一個分支]協變微分法
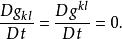
協變微分法服從規律——兩張量之和(或差)的協變導數是它們的協變導數之和(或差);兩張量的外積(或內積)的協變導數等於兩項之和,每項是一個張量外乘(或內乘)另一張量的協變導數。
不變微分運算元
梯度
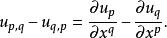
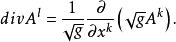
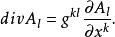
張量分析[微分運算的一個分支]散度
張量分析[微分運算的一個分支]
張量分析[微分運算的一個分支]
張量分析[微分運算的一個分支]鏇度
張量分析[微分運算的一個分支]
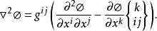
張量分析[微分運算的一個分支]拉普拉斯運算元
張量分析[微分運算的一個分支]內稟微分
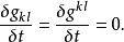
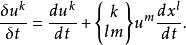
絕對導數
張量分析[微分運算的一個分支]
張量分析[微分運算的一個分支]
張量分析[微分運算的一個分支]實質導數
張量分析[微分運算的一個分支]
張量分析[微分運算的一個分支]
張量分析[微分運算的一個分支]相對張量
權為w的相對純量
張量分析[微分運算的一個分支]權為w的相對矢量
張量分析[微分運算的一個分支]權為w的相對二階混合張量
張量分析[微分運算的一個分支]
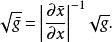
張量分析[微分運算的一個分支]權為1的相對張量(張量密度)
張量分析[微分運算的一個分支]![張量分析[微分運算的一個分支] 張量分析[微分運算的一個分支]](/img/8/8f7/nBnauM3XzAjNzIjM2kjN0ETN1UTM1QDN5MjM5ADMwAjMwUzL5YzL1czLt92YucmbvRWdo5Cd0FmLzE2LvoDc0RHa.jpg)
