弱黏煤半焦製備及其特性研究
我國低變質程度的弱黏煙煤,普遍具有低灰低硫的特點,由弱黏煤製備的半焦也具有相對的低灰低硫低揮發分特點。因此,當採用型焦或搗固煉焦工藝製備鑄造焦時,這類半焦便是其理想的惰性添加劑。但作為鑄造焦的惰性添加劑,只考慮低灰、低硫和低揮發分是不全面的,在採用型焦工藝製備鑄造焦時,半焦的製備終溫影響著煤料的成型特性和結焦性,並且,由不同種類的煤製備的半焦其成型特性和結焦性都有著不同程度的差別。當採用搗固煉焦工藝製備鑄造焦時,半焦的成型特性及其氣孔結構特徵等對煤料的搗固效果和煤料的搗固密度有著較大的影響,最終也要影響焦炭的質量。
對選定的弱黏煤以不同的製備終溫製得一組半焦,對半焦在掃描電子顯微鏡(SEM)下進行觀察,考察不同的製備終溫製得的半焦在微觀結構外貌方面的差別;對弱黏煤在不同的溫度下熱失重規律進行研究;對半焦的孔徑分布特徵進行實驗測定和研究;用不同溫度下製備的半焦與氣煤按一定比例配合製備鑄造焦,分別測定焦樣的抗壓強度,以焦樣的抗壓強度來表征半焦的結焦性,旨在得到炭化溫度對半焦特性的影響規律。
實驗室製備半焦過程
在實驗室內,因半焦製備的數量較少,半焦製備的恆溫時間選擇為90 min。實驗在常規馬弗爐中進行,不予以升溫速度控制。實驗過程中對煤樣Ⅱ實施抗氧化保護,並在矽碳材料製作的容器中進行製備實驗。為了研究炭化終溫對半焦特性的影響規律,實驗製備了500℃、550℃、600℃、700℃、800℃半焦,製得的半焦分別編號、密閉備用。
弱黏煤煤樣Ⅱ的熱失重規律
在半焦製備過程中,對弱黏煤煤樣Ⅱ進行了熱失重實驗,實驗結果如圖1所示。
圖1由圖1中可以看到,弱黏煤煤樣Ⅱ在500~800℃之間的熱失重速率趨於一致,只是在炭化溫度大於800℃時,熱失重速率才明顯減少。這也正符合弱黏煤或不黏煤的性質特點,因為弱黏煤或不黏煤只有極少的或完全沒有膠質體熔融階段,揮發分析出峰也就不顯著了。
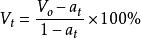
弱黏煤煤樣Ⅱ在各炭化溫度點上生成半焦,半焦所含的揮發分為:
弱黏煤式中:
弱黏煤——炭化溫度為t oC時相應生成的半焦所含的揮發分,%;
弱黏煤——弱黏煤煤樣Ⅱ的揮發分指標,%,實驗測得值為27.48%;
弱黏煤——炭化溫度為t℃時弱黏煤煤樣Ⅱ的失重率,%。
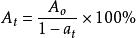
同樣,由弱黏煤煤樣Ⅱ的失重率減小可以求得各炭化溫度點上生成的半焦灰分為:
弱黏煤式中:
弱黏煤——炭化溫度為t℃時相應生成的半焦灰分,%;
弱黏煤——弱黏煤煤樣Ⅱ的灰分指標,%,實驗測得值為6.93%。

