定義
矩陣形式
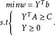
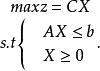
用矩陣形式表示,對稱形式的線性規劃問題的原問題為:
弱對偶性其對偶問題為:
弱對偶性或表示為:
弱對偶性
弱對偶性
弱對偶性
弱對偶性
弱對偶性
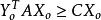
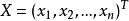
弱對偶性其中, 和 均是列向量, , ,上標 表示轉置 。
弱對偶性
弱對偶性若 是原問題的可行解, 其對偶問題的可行解,則恆有:
弱對偶性如果原問題是求極小化問題上述結論的符號相反:
弱對偶性標準形式
假定原問題是最大化問題即線性規劃問題(LP)的標準形式:
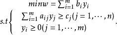
弱對偶性其對偶問題(DLP)如下式所示:
弱對偶性
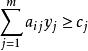
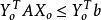
弱對偶性若 是原問題的可行解,y=(j=1,2,···,m)是其對偶問題的可行解,則恆有:
弱對偶性定律推論
以下是根據 弱對偶性的推論:
原問題是極大化問題時,原問題任意可行的目標函式值是其對偶問題目標函式值的下界;反之對偶問題任一可行解的目標函式值是其原問題目標函式的上界。
原問題是極小化問題時,原問題任意可行的目標函式值是其對偶問題目標函式值的上界;反之對偶問題任一可行解的目標函式值是其原問題目標函式的下界。
如果原問題(有可行解且)目標函式值無界即有無界解,則其對偶問題無可行解;反之對偶問題(有可行解且)目標函式值無界,則其原問題無可行解。(可行解無界,就不能存在為其上下界的可行解。)
性質2的逆命題不成立,因為:當對偶問題無可行解時,其原問題或具有無界解或無可行解,反之亦然。
若原問題有可行解而對偶問題無可行解,則原問題目標函式無界;反之對偶問題有可行解而其對偶問題無可行解,對偶問題的目標函式無界。
1.原問題是極大化問題時,原問題任意可行的目標函式值是其對偶問題目標函式值的下界;反之對偶問題任一可行解的目標函式值是其原問題目標函式的上界。
2.原問題是極小化問題時,原問題任意可行的目標函式值是其對偶問題目標函式值的上界;反之對偶問題任一可行解的目標函式值是其原問題目標函式的下界。
3.如果原問題(有可行解且)目標函式值無界即有無界解,則其對偶問題無可行解;反之對偶問題(有可行解且)目標函式值無界,則其原問題無可行解。(可行解無界,就不能存在為其上下界的可行解。)
4.性質2的逆命題不成立,因為:當對偶問題無可行解時,其原問題或具有無界解或無可行解,反之亦然。
5.若原問題有可行解而對偶問題無可行解,則原問題目標函式無界;反之對偶問題有可行解而其對偶問題無可行解,對偶問題的目標函式無界。
推導過程
矩陣形式
弱對偶性
弱對偶性
弱對偶性
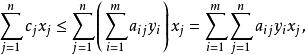
弱對偶性由於原問題的任一可行解X必定滿足約束條件: ,在不等式兩邊同時右乘對偶問題可行解Y,有 ;且對偶問題的任一可行解Y必定滿足約束條件: ,在不等式兩邊同時左乘原問題可行解X,有 ,可以推導出它們的目標函式值有以下關係 :
弱對偶性(原問題的目標函式值) (對偶問題的目標函式值)
標準形式
弱對偶性
弱對偶性由於原問題的任一可行解滿足 ,對偶問題的任一可行解滿足
證:因為
弱對偶性
弱對偶性
弱對偶性所以,

