定義
弧與弧長
弧的定義:圓上任意兩點之間的部分。弧的大小的兩種表示:弧長與弧度。
弧長的定義:在圓上過2點的一段弧的長度叫做弧長。
優弧與劣弧
一條弧所對應的圓心角度數大於180度的弧就叫做優弧;
反之,一條弧所對應的圓心角度數小於180度的弧就叫做劣弧。
公式
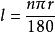
弧[數學概念]弧長公式:弧長 ,θ是弧度 r是半徑
弧[數學概念]
弧[數學概念]或 或 l=圓心角×r
弧[數學概念]在半徑是R的圓中,因為360°的圓心角所對的弧長就等於圓周長C=2πR,所以n°圓心角所對的弧長為 。
例:半徑為1cm,45°的圓心角所對的弧長為
弧[數學概念]如果已知他的沿圓錐體的一條母線和側面與下底面圓的交線將圓錐體剪開鋪平,就得到圓錐的平面展開圖。它是由一個半徑為圓錐體的母線長,弧長等於圓錐體底面圓的周長的扇形和一個圓組成的,這個扇形又叫圓錐的側面展開圖。
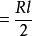
弧[數學概念]補充公式:S扇=
弧[數學概念]所以:S扇
弧[數學概念]還可以是S扇
圓錐母線,弧長,面積計算公式
圓錐的表面積=圓錐的側面積+底面圓的面積
弧[數學概念]其中:圓錐體的側面積
弧[數學概念]圓錐體的全面積
π為圓周率≈3.14
R為圓錐體底面圓的直徑
L為圓錐的母線長(注意:不是圓錐的高)是展開扇形的邊長
弧[數學概念]n圓錐圓心角
弧長=圓周長
![弧[數學概念] 弧[數學概念]](/img/a/d90/nBnauM3X0IDM4ADN0UjNwgDM1UTM1QDN5MjM5ADMwAjMwUzL1YzL3AzLt92YucmbvRWdo5Cd0FmLxE2LvoDc0RHa.jpg)
