基本介紹
設整數n>1,P(n)表n的最大素因子,p(n)表n的最小素因子,則有
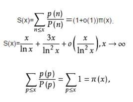
廣義素數定理S(x)= =(1+o(1))π(x); (1)
廣義素數定理S(x)= ; (2)
當n僅取素數時,
廣義素數定理所以,S(x)是π(x)的一種推廣。而(1)表明S(x)與π(x)是等價的,(3)式則進一步求出了S(x)的漸近公式,但注意到對任意正整數A,由於有
廣義素數定理
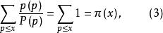
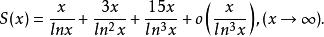
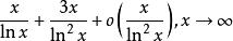
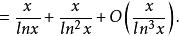
廣義素數定理因而S(x)與π(x)進一步的漸近公式是不同的,S(x)最好的結果是
廣義素數定理通過複雜的計算,還可以定出此漸近公式中的更低次項。但是,是否存在一個函式f(x),使對任意的正整數A,有S(x)=f(x)+O(x ln x),迄今尚未解決 。
相關介紹
定義1 素數定理指素數出現的規律,可分為自然數素數定理、函式素數定理及 廣義素數定理等,每種素數定理,又分為實際素數定理和理論素數定理等,這裡說的規律包括某範圍的機率分布函式、素數個數、均方差及邊界等量的集合,它將目前說的“素數定理”的概念進行了擴展,其中,自然數素數定理是函式素數定理的特例,函式素數定理是自然數素數定理的推廣,故“自然數素數定理”和“函式素數定理”可統稱為 狹義素數定理 。
廣義素數定理定義2 在t≤N內的函式或條件H(t)中,出現狹義或廣義素數的規律,定義為狹義或廣義素數定理,H(t)的素數率記為 ,素數個數實際值及理論值分別表為π(H(N))及Π(H(N)),則
廣義素數定理
廣義素數定理在素數定理中,當具有特徵量x時,它們的個數可記為π(N,x), Π(N,x),它們的歸一化機率分布函式可記為ρ(N,x),P(N,x), 則
π(N,x)=π(N)ρ(N,x)
Π(N,x)=Π(N)P(N,x)
廣義素數定理愛爾特希
愛爾特希(P.Erdös)是匈牙利數學家。猶太人。生於布達佩斯,是兩位中學數學教師的獨子,一個數學神童,3歲時已能心算三位數的乘法,4歲時便發現了負數。1930年進入布達佩斯大學學習數學,1934年畢業並獲得博士學位。1934年10月,赴英國曼徹斯特,從事為期4年的博士後研究。之後不間斷地旅行了50多年,從未在一個地方停留一個月以上,沒有妻小,沒有職業,沒有其他嗜好,完全獻身於對美妙的數學問題和新奇的數學技巧的追求之中,以近乎瘋狂的節奏,奔波於四大洲一個又一個大學或研究中心。他是匈牙利科學院院士,荷蘭皇家研究院院士,以及倫敦數學會、美國數學會會員 。
愛爾特希的數學興趣包括數論、集合論、組合數學、圖論、機率論及其套用以及數理邏輯等。尤其在數論方面的工作最為突出,被譽為“一心迷戀於數的學者”。在整數分析問題的研究中,17歲時他便給出了“在任何一個(大於1的)整數和它的兩倍數之間必定存在素數”的一個簡單證明,轟動了匈牙利數學界。1942年,他用初等的函式論方法估計了n的分拆數p(n)的值。還提出了一個猜想:如果n個等差數列沒有覆蓋住自然數列,那么必存在0<m<2 ,m不屬於上述任何一個等差數列。1940年,他證明了存在無窮多個自然數n,使得P-P<clgP,其中P為第n個素數,c為歐拉常數。1949年,他取得了他數學研究上的最大成功,即他與賽爾伯格(A.Selberg)合作對“描述素數統計分布的公式”給出了一個“初等”證明,震撼了數學界。他還研究過親和數的分布問題。在組合數學中,他對其中引人注目的拉姆齊理論作出過開拓性的工作。
愛爾特希是位超級解題能手,一位數學苦行僧,他還善於與各國數學家合作研究,與他合作過的人超過了250人,比歷史上任何一位數學家的合作者都多。
愛爾特希是世界上最著名、最富有廣泛旅行經歷、最多產的數學家,現已發表1 000多篇數學論文,而且每篇論文至少包含一個值得注意的新結果。他還寫有300多種論著,主要著作有《數論的一些新進展和當前的問題》(1965)、《組合分析中的機率方法》等。他不但在匈牙利和以色列為學生設立了兩個獎學金,還為證明一些有趣的問題設定了10美元至3 000美元的現金獎,以促進數學的發展。由於對數學的傑出貢獻,他榮獲1983—1984年度的沃爾夫獎 。

