基本介紹
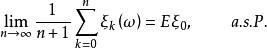
度量可遞性質(保測變換或平穩序列的)(metrically transitive property (of measure-preserving transformation or stationary sequence))是一種與遍歷性有密切關係的性質,人們稱保測變換T具有度量可遞性質(或者稱T是度量可遞的),如果關於它的每一不變集有機率0或1,這又等價於每一幾乎處處不變集有機率0或1。可以證明,若變換T是度量可遞的,ξ是任一隨機變數,則有
度量可遞性質(保測變換或平穩序列的)
度量可遞性質(保測變換或平穩序列的)
度量可遞性質(保測變換或平穩序列的)即具有度量可遞性質的變換T是遍歷的,上式中的 是T的k次冪(即連續作k次T變換), 是恆等變換。
度量可遞性質(保測變換或平穩序列的)
度量可遞性質(保測變換或平穩序列的)
度量可遞性質(保測變換或平穩序列的)
度量可遞性質(保測變換或平穩序列的)
度量可遞性質(保測變換或平穩序列的)
度量可遞性質(保測變換或平穩序列的)
度量可遞性質(保測變換或平穩序列的)
度量可遞性質(保測變換或平穩序列的)
度量可遞性質(保測變換或平穩序列的)
度量可遞性質(保測變換或平穩序列的)
度量可遞性質(保測變換或平穩序列的)
度量可遞性質(保測變換或平穩序列的)
度量可遞性質(保測變換或平穩序列的)
度量可遞性質(保測變換或平穩序列的)設T是一保測變換, 是一隨機變數。令 對 ,則序列 是一嚴平穩序列。反之,對於 上每一嚴平穩序列 ,恆能構造定義在某一機率空間 上的隨機變數 和保測變換 ,使得 和 有相同的機率分布。因此,不失一般性,對於任意嚴平穩序列 ,可以假設存在保測變換T,使得 對所有 於是人們稱嚴平穩序列ξ具有度量可遞性質(或者稱ξ是度量可遞的),如果上述相應於ξ的保測變換T具有同樣的性質,度量可遞的嚴平穩過程具有均值遍歷性 :
度量可遞性質(保測變換或平穩序列的)相關定理
度量可遞性質(保測變換或平穩序列的)定理1具有連續相關函式 的平穩正態過程為度量可遞的充要條件是此過程的增函式為連續。
定理2平穩過程為度量可遞的充要條件是: 此過程為部分混合的。

