優弧、劣弧
優弧是指圓心位於弧與弦連線成的封閉圖形之內; 劣弧是指圓心位於弧與弦連線成的封閉圖形之外。簡單地說,大於半圓的弧即是優弧,而小於半圓的弧就叫劣弧。半圓則沒有優劣弧之分。
幾何弧的長度
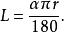
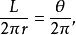
半徑為 r的圓弧的長度 (更確切地說,弧長) L與圓心相對應的角度 θ(以弧度表示) - 即中心角- 等於 θr。這是因為
幾何弧在周圍代替
幾何弧並且,與 α為以度為單位的相同的角度,由於 θ= α/180π,電弧長度等於
幾何弧確定圓弧長度的一種實用方法是繪製從圓弧端點到圓心的兩條線,測量兩條線與中心相交的角度,然後通過交叉乘法來求解L 。
幾何弧半徑
使用交叉和弦定理(也稱為點或正割正切定理的冪),可以在給定高度H和弧的寬度W的情況下計算圓的半徑r:
考慮具有與弧相同的端點的和弦。它的垂直平分線是另一個弦,它是圓的直徑。第一個弦的長度是W,它被平分線分成兩個相等的半部,每個半部的長度為W/2。直徑的總長度為2r,由第一個弦分為兩部分。一個部分的長度是矢電弧,的ħ,而另一部分則是直徑的剩餘部分,以長度為2r-H。將交叉和弦定理套用於這兩個和弦產生
幾何弧此時有
幾何弧所以
幾何弧
