HLB值的規定
HLB值是表示表面活性劑的親水、親油性強弱的指標。HLB值越大,其親水性越強;HLB值越小.則其親油性越強。表面活性劑分子的HLB可用下式表示:
HLB=親水基的親水性/親油基的親油性 (1)
由式(1)可以看出,對於相同的親油基,若親水基不同,則親水性也不同;另一方面,當表面活性劑的親水基相同,親油基越長.則親水性就越差。
一般以石蠟的HLB值為0、油酸的HLB值為1、油酸鉀的HLB值為20、聚乙二醇的HLB值為20、十二烷基硫酸鈉的HLB值為40作為標準,由此可以得到陰離子型、陽離子型表面活性劑的HLB值範圍在1~40,非離子型表面活性劑的HLB值範圍在1~20。
HLB值的確定
表面活性劑的HLB值一般可根據計算法和測量法來確定。
計算法
計算法主要有建立在結構一性能關係實驗基礎上的經驗或半經驗關係式及理論基礎上的基本理論關係式。
非離子表面活性劑HLB值的計算式如下:
平衡值上式中,H為親水基的相對分子質量;L為親油基的相對分子質量。該式適用於計算脂肪醇、烷基酚EO加成物的HLB值。
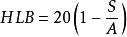
對多元醇脂肪酸酯及氧乙烯基(EO)加成物的非離子表面活性劑,如Span、Tween等,其HLB值可採用下式計算。
平衡值上式中,S為脂肪酸值的皂化價;A為脂肪酸的酸值。
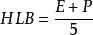
對於皂化價不易測定的非離子表面活件劑,如松節油和松香、蜂蠟、羊葦脂等EO加成物,其HLB值可採用下式計算。
平衡值上式中,E為氧乙烯基的質量分數;P為多元醇的質量分數。
離子型表面活性劑,由於其親水基種類繁多,親水性大小不同,其HLB值的計算比非離子型表面活性劑複雜。Davies提出把表面活性劑的結構分解為一些基團,每個基團對HLB值均有各自的貢獻,通過實驗先測得各基團對HLB值的貢獻,稱作基團值,然後將分子中各親水、親油基的基團值代人下式,可以計算出HLB值:
HLB=7+Σ親水基團指-Σ親油基團值
測量法
測量HLB值的方法很多,但都有其局限性。測定可採用鋪展係數法、極譜法、核磁共振譜法、介電常數、溶解參數法、臨界膠束濃度法、水數及濁點法、PIT法、色譜法等多種方法。最簡單的是目測法.即在常溫下將表面活性劑加入水中,依據其在水中的溶解性能和分散狀態來估計其大致的HLB範圍。水溶目測法雖只能得出大致的HLB結果,但操作簡單快捷,適用僅需大致HLB範圍的確定。
無論是計算法還是測量法,混合物的HLB值為各組員的質量分數乘以其HLB值後的加和。
HLB值的套用
表面活性劑的HLB值直接影響到它的性質和套用。在套用時,應根據不同的套用領域、套用對象選擇具有不同HLB值的表面活性劑。下圖列出了具有不同HLB值表面活性劑的套用場合。
圖1 表面活性劑的HLB值與套用的關係不同類型的表面活性劑,HLB值可能不同,根據套用的需要,可通過改變表面活性劑的分子結構得到不同HLB值的產品。對於離子型表面活性劑,可通過增減親油基碳數或改變親水基的類型來調節HLB值;對於非離子表面活性劑,則可以採用在一定親油基上連線的乙氧基鏈長或羥基數目的增減來調節其HLB值。

