諧波責任劃分的意義
自國際上提出“獎懲性方案”以後,國內外學者在諧波辨識領域進行了大量研究,為區分系統側和用戶側諧波責任,提供了一些可借鑑的方法和思路。實際工程中評估諧波發射水平的方法一般是根據單個諧波污染用戶在公共點的諧波電壓、電流監測數據進行,電力部門據此來實施獎懲措施。但是,母線公共連線點(PCC)處大多存在兩個或多個諧波源用戶,產生的諧波電流可能互相增強也可能互相抵消,因此,諧波源用戶的諧波發射水平與其應負的諧波責任不是簡單的正比例關係。並且,現有的諧波源定位算法也大多只是定性的判斷出諧波源位於系統側還是用戶側,沒能對多諧波源系統進行更進一步的責任分攤研究。諧波污染責任的分攤是定量地分攤各個諧波污染源在公共點處造成的諧波責任,因此,當某個用戶接入系統時,必須明確估計該用戶的諧波污染責任。
通常把諧波電壓的大小作為區分諧波責任的依據,諧波電壓是由畸變的電流流過非線性負荷產生的,由諧波電流與非線性負荷諧波阻抗的矢量運算求得,其中諧波電流可以測量得到,因此,諧波阻抗的估算在諧波責任評估中至關重要。換句話說,多諧波源負荷的責任分攤與諧波阻抗的準確估算有著密切的聯繫。根據對電力系統的正常運行產生的影響,現有的諧波阻抗估算方法可以分為“干預式”和“非干預式”兩類。
定義
“干預式”方法的原理是:通過開斷系統某一支路、向系統強迫注入諧波或間諧波電流,測量相應產生的諧波電壓,從而計算諧波阻抗。其中,注入的諧波電流會對系統本身的正常運行造成不利影響。“干預式”方法又可以分成諧波電流注入法、開關原件法以及用戶側並聯阻抗法。
具體方法
諧波電流注入法
“諧波電流注入法”的原理:對於目標系統,我們要估算其h次諧波阻抗,利用諧波電流注入器,在目標系統母線公共點處強迫注入其產生的h次諧波電流或者間諧波電流,然後測量此時在該點產生的相應次數的諧波電壓,由歐姆定律,目標系統的諧波阻抗等值電路及計算公式如下圖 :
諧波電流注入法等值電路
干預式諧波責任劃分法
干預式諧波責任劃分法其中,Z= ,諧波電流注入器是一種具有非線性阻抗的裝置,當正弦波的系統電壓施加其上時,它相當於一個諧波源,產生的是非正弦電流。當測量系統中沒有其他該次諧波源或者與此注入器相比,其他諧波源產生的該次諧波電流可以忽略時,可以認為注入器的 h 次諧波電流流過負荷,生成此點的 h 次諧波電壓,否則不能簡單的利用式Z= 求系統諧波阻抗。
實際工程中,要測量諧波阻抗的目標系統通常是容量大的多諧波源系統,這就要求諧波電流注入器有更大的容量,這在實際中是很難做到的,而且經濟上也不再合適。為克服這個問題,通常使諧波注入器產生 25Hz 的諧波電流,這樣電流的次數就是非整數次,從而為準確測得該頻率的系統阻抗值創造條件。系統諧波阻抗可由測量結果作圖或者插值法求得。
該方法的優點是諧波頻率可以用插值法得到,並且可以得到 2500Hz 以下的幾乎所有頻率;由於間諧波受系統固有諧波的影響不大,故不需要特別大的諧波功率。
該方法的不足在於目標系統是高壓系統時,諧波源輸出要有較高的適配電壓承受能力;注入電流有時是不對稱的;選電阻較低的變壓器。
開關原件法
開關元件法不同於諧波電流注入法的地方在於,其通過網路元件的開關動作,要在測量諧波阻抗的公共點處產生諧波電流注入(或擾動),然後分析求得諧波阻抗。開關元件法根據注入的電流是瞬態還是穩態又分為瞬態法和穩態法兩種。根據開關投切網路元件後的瞬態過程,利用頻率回響估計的原理,估計系統諧波阻抗的方法為瞬態法,原理圖如下:
頻率回響估計諧波阻抗原理圖中 It、Ut 分別為電網中的電壓、電流,Nt是噪聲信號,假設其都是平穩隨機過程,方框代表線性系統,Z(t)為衝激回響,Z(f)是其頻率回響,則有:
干預式諧波責任劃分法Ut=
考慮到基波信號幅值比注入諧波信號強的多,並且存在背景諧波,因此使用協方差函式對其進行計算分析。
假設經過一段時間,測得 h 次諧波電壓、諧波電流分別為 Uh、Ih,諧波電壓和電流互協方差函式為 RUhIh,諧波電壓的自協方差函式為 RUhUh,分別對其進行傅立葉變換得到互譜和功率譜分別為 SUhIh、SUhUh,由兩個傅立葉變換的結果,根據下式可得到相應的系統諧波阻抗。
干預式諧波責任劃分法Z(h)=
實際工程中,瞬態法可以通過投切電容器來實現。其為優點:具有較廣的頻譜,含有間諧波頻率;採用投切電容器方法實現時,可以頻繁的進行開關操作,測量操作容易。不足之處在於諧波擾動源支路(如電容器支路、濾波支路)不能少;信號持續不長,較難採集;注入電流受開關時刻的影響,可能不對稱。
干預式諧波責任劃分法
干預式諧波責任劃分法
干預式諧波責任劃分法
干預式諧波責任劃分法
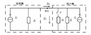
干預式諧波責任劃分法穩態法是通過投切開關,根據系統得到的兩種穩定狀態進行阻抗估算。當開關沒有投入時如下圖,有Ua=IsZs開關S投入後,有Ub=( - ) 。兩式聯立可得 = 。
開關S打開狀態系統和用戶等值電路
干預式諧波責任劃分法
干預式諧波責任劃分法
干預式諧波責任劃分法
干預式諧波責任劃分法經過整理,化簡可得到△Uc= - ,經過整理得到△Uc= - 。
干預式諧波責任劃分法
干預式諧波責任劃分法
干預式諧波責任劃分法穩態法特點是:Zc、Zs 的值不需要十分精確: 要在無諧波源干擾時測量得到,此時負荷運行的時間較短, 、 為負載正常運行時測量得到的值。
用戶側並聯阻抗法
干預式諧波責任劃分法
干預式諧波責任劃分法
干預式諧波責任劃分法
干預式諧波責任劃分法如下圖a所示,開關S處於打開狀態時,測量公共連線點諧波電壓、諧波電流分別為 、 ,開關 S 處於閉合狀態時,如圖b,測得公共連線點處的諧波電壓、諧波電流分別為 、 。
圖a
圖b通過計算用戶產生的諧波電流引起的電壓增量,進而根據諧波發射水平的定義,求解電壓降的幅值。
此方法的優點是,計算過程中不需要 Zs 以及 Zc 的準確估計值,計算結果對諧波阻抗的計算精度的要求也不像“注入法”那么高。不足在於用戶諧波電壓發射水平估計的準確性受系統對所測負荷的供電時間長短的影響。

