定義
席貝克係數
席貝克係數
席貝克係數塞貝克係數可用來表征塞貝克效應的大小。其表達式為,其中,為熱電材料上兩點間的溫度差;為相應兩點間的溫差電動勢。熱電材料中,當電子為多子時,冷端為負,S為負值;當空穴為多子時,熱端為負,S為正值。
套用
塞貝克係數的測量
四探針平台在大學物理實驗中主要配合精密恆流源與直流數字電壓表用於金屬薄膜電阻率的測量。因而可以使用四探針平台配合珀爾貼片、熱像儀、數字電壓表搭建了塞貝克係數的測量裝置。這裡以鈣鈷氧樣品測量為例 。
席貝克係數
席貝克係數塞貝克係數測試裝置如圖所示,其中一塊珀爾貼片加上電壓用作熱端,另一塊貼片保持室溫作為冷端,使放在貼片上的鈣鈷氧樣品產生溫差。熱端帕爾貼片上施加的電壓從0.6V逐漸增大到2.6V以改變樣品上的溫度分布,測試中兩塊珀爾貼片間距保持為13mm。用直流數字電壓表測量探針接觸樣品後的電壓值,並通過熱像儀得到四探針與樣品接觸點的溫度,由公式計算樣品的塞貝克係數。
溫度對半導體材料塞貝克係數的影響
熱電材料也叫溫差電材料,是一種能夠實現熱、電能量相互轉換的功能材料,它在熱電發電和製冷、恆溫控制與溫度測量等領域都有極為重要的套用前景。熱電器件具有尺寸小、質量輕、無機械轉動部件,工作無噪聲,可精確控溫,回響速度快,器件使用壽命長等優點,因此不存在污染環境的問題,還可為超導材料的使用提供低溫環境。
塞貝克(Seebeck)效應,又稱作第一熱電效應,它是指由於兩種不同電導體或半導體的溫度差異而引起兩種物質間的電壓差的熱電現象。利用塞貝克效應,可製成溫差電偶來測量溫度。
有學者採用機械合金化法製備出鑥摻雜碲化鉍基熱電粉末,鑥摻雜質量比為 1%,分別在 170℃,200℃,230℃,260℃四個溫度下對合金化粉末進行熱壓,並測試熱壓塊體樣品的塞貝克係數。
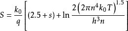
席貝克係數實驗得到半導體熱電材料的塞貝克係數的大小為,
式中 s 為散射因子,n 為載流子濃度。可以看出,塞貝克係數琢與散射因子 s 和載流子濃度 n 有關係。樣品經過熱壓,晶粒長大,孔隙由連通變為孤立,使散射機制發生變化,散射因子變大,導致塞貝克係數的增加。熱壓溫度越高,晶粒長大越明顯,孔隙越小,散射因子對塞貝克係數的影響越明顯。因而發現塞貝克係數隨著熱壓溫度的增加而增大 。
