簡介
帕默爾乾旱指數(PDSI)是一個基於水量供需關係的乾旱指數,在當地水分供不應求時即為乾旱,否則為濕潤。水分供給量相對容易求得,通常可以降水量代替;而水分需求量的推算則較為複雜,因其涉及到受到氣溫、土壤性質、土地利用等因素影響的蒸散發及土壤水分變化等方面。對於這一問題,帕默爾提出了“當前情況下的氣候適宜”(climatically appropriate for existing conditions,CAFEC)的概念,定義了“氣候適宜降水量”來作為水分需求量,並以實際降水量與其差值來界定水分盈虧狀況。PDSI不僅能考慮當前的水分供需狀況,還能考慮前期乾濕狀況及其持續時間來對當前乾旱狀況的影響,物理意義明確,是一個能較為客觀合理地定量描述乾旱的乾旱指數。
PDSI值通常介於-4到4之間,當其值大於0時則為濕潤,反之為乾旱,不同大小的值反映不同的乾旱或濕潤等級。
| PDSI值範圍 | 乾濕狀況 | PDSI值範圍 | 乾濕狀況 |
帕默爾乾旱指數 | 極端乾旱 | 帕默爾乾旱指數 | 初始濕潤 |
帕默爾乾旱指數 | 嚴重乾旱 | 帕默爾乾旱指數 | 輕微濕潤 |
帕默爾乾旱指數 | 中等乾旱 | 帕默爾乾旱指數 | 中等濕潤 |
帕默爾乾旱指數 | 輕微乾旱 | 帕默爾乾旱指數 | 重度濕潤 |
帕默爾乾旱指數 | 初始乾旱 | 帕默爾乾旱指數 | 極端濕潤 |
帕默爾乾旱指數 | 正常 |
由於計算PDSI所使用的多個參數(如氣候修正係數公式中的參數及持續時間因子等)為帕默爾最初基於美國半乾旱區(肯薩斯州和愛荷華州)的氣象資料統計獲得,對其他地區的適用性較差,世界各地有眾多學者針對當地氣候對PDSI的計算進行了修正,如安順清等學者就在上世紀80年代針對中國大陸的氣候對進一步修正了PDSI,以推廣其在中國大陸的使用 。後為避免PDSI多次修正的麻煩,提高PDSI的可移植性和空間可比性,Wells等學者在本世紀初提出了能夠自動針對當地氣候進行修正的自適應PDSI(self-calibrating PDSI),即scPDSI 。
計算方法
PDSI的計算需要兩種氣象資料:降水量和潛在蒸散發量(potential evapotranspiration),另外還需當地下墊面土壤的最大有效持水量(available water capacity),即AWC。潛在蒸散發量,即PET,又稱可能蒸散量,是指一定條件下在下墊面供水充分的情況下可產生的最大的蒸散發量,可由桑斯維特(Thonthwaite)公式 或彭曼-蒙忒斯(Penman-Monteith)公式 計算。最初PDSI即建立於桑斯維特的PET計算公式之上,然而近年也有學者指出使用桑斯維特公式計算的PDSI易於高估乾旱,從而建議使用物理機制更明確的彭曼-蒙忒斯公式 。
帕默爾乾旱指數
帕默爾乾旱指數
帕默爾乾旱指數
帕默爾乾旱指數
帕默爾乾旱指數
帕默爾乾旱指數
帕默爾乾旱指數
帕默爾乾旱指數
帕默爾乾旱指數PDSI的計算方法大致如下:首先計算出各時期的氣候適宜降水量( ),並以實際降水量 減去 獲得水分虧缺量 ,然後對 使用氣候修正係數 進行氣候修正獲得水分虧缺指數 ,最後使用持續時間因子對 進行處理,獲得考慮了前期水分條件影響的最終的PDSI值 。
PDSI的時間尺度有逐周和逐月兩種,目前套用最廣的為月尺度的PDSI。以下以月尺度PDSI的計算為例。
水文賬計算
帕默爾乾旱指數
帕默爾乾旱指數
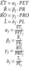
帕默爾乾旱指數PDSI計算的第一步是計算出每個月的氣候適宜降水量 ,並結合實際月降水量 計算水分虧缺量,這一步通常稱為水文賬計算。某個月份的氣候適宜降水量 計算如下:
帕默爾乾旱指數
帕默爾乾旱指數
帕默爾乾旱指數
帕默爾乾旱指數
帕默爾乾旱指數
帕默爾乾旱指數
帕默爾乾旱指數
帕默爾乾旱指數
帕默爾乾旱指數其中 , , 和 分別為氣候適宜條件下的蒸散發量,土壤水分補充量,產流量和土壤失水量。該式意即某個月內氣候適宜條件下的降水需提供“用於”蒸散發、補充土壤水分和產生徑流的水量;另外土壤水分也會“適當”損失一部分到蒸散發、產流等去向,因而對降水量的需求會少一些,因而還需減去相應的氣候適宜土壤失水量。 、 、 和 的計算如下:
帕默爾乾旱指數
帕默爾乾旱指數
帕默爾乾旱指數
帕默爾乾旱指數
帕默爾乾旱指數
帕默爾乾旱指數
帕默爾乾旱指數
帕默爾乾旱指數
帕默爾乾旱指數
帕默爾乾旱指數
帕默爾乾旱指數
帕默爾乾旱指數
帕默爾乾旱指數
帕默爾乾旱指數
帕默爾乾旱指數
帕默爾乾旱指數, , 和 分別為一年中不同月份 對應的水量平衡分量係數, ; , , , 分別為月份 的實際蒸散發、實際土壤水補充量、實際產流量和實際土壤失水量的多年平均值; , , , 同上,不過分別為潛在蒸散發、潛在土壤水補充量、潛在產流量和潛在土壤失水量。
帕默爾乾旱指數
帕默爾乾旱指數
帕默爾乾旱指數
帕默爾乾旱指數
帕默爾乾旱指數
帕默爾乾旱指數
帕默爾乾旱指數
帕默爾乾旱指數
帕默爾乾旱指數
帕默爾乾旱指數
帕默爾乾旱指數, , , 及 , , , 稱為水量平衡分量,除 外均由帕默爾提出的一個簡單的雙層土壤水文模型利用實際降水量 和潛在蒸散發量 計算,其上層土壤的有效持水量通常設為1英寸即25.4mm,下層土壤有效持水量則為總持水量減去上層有效持水量,即AWC-25.4mm。該模型原理十分簡單:
帕默爾乾旱指數
帕默爾乾旱指數
帕默爾乾旱指數當降水量大於 時,則 即為實際蒸散發量 ;若降水量扣除 後仍有剩餘,則多餘的水量用於補充上層土壤,此時土壤失水量為0;若補充完上層土壤仍有剩餘則補充下層土壤;若補充完上下層土壤水分後還有剩餘,則剩餘部分即為產流量。
帕默爾乾旱指數
帕默爾乾旱指數
帕默爾乾旱指數反之,若 大於降水量,則 全部蒸散發掉,若 扣除降水量仍有不足則上層土壤水分也將進一步蒸散發,此時土壤補水量為0;若上層土壤水分仍不足以扣除蒸散發損失,則下層土壤將進一步失去水分,而該層土壤水分則相對不易喪失 。
潛在分量的計算如下:
帕默爾乾旱指數
帕默爾乾旱指數
帕默爾乾旱指數設 , 分別為第 個月初的上層和下層土壤含水量,單位mm;
帕默爾乾旱指數
帕默爾乾旱指數為土壤水分能接受的最大補充量: ;
帕默爾乾旱指數
帕默爾乾旱指數為當前能產生最大徑流的量: ;
帕默爾乾旱指數
帕默爾乾旱指數為當前土壤水分能損失的最大量: 。
帕默爾乾旱指數
帕默爾乾旱指數各月的 計算出後,即可計算出各月的水分虧缺量 :
帕默爾乾旱指數指數標準化
帕默爾乾旱指數
帕默爾乾旱指數
帕默爾乾旱指數水分虧缺量 僅能反映各時候的水分缺乏量,並不能直接反映乾旱的程度,因而需對其進行進一步修正和標準化。首先是將 將修正成水分虧缺指數 。
帕默爾乾旱指數
帕默爾乾旱指數
帕默爾乾旱指數
帕默爾乾旱指數
帕默爾乾旱指數
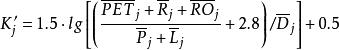
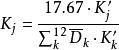
帕默爾乾旱指數其中 為一年中不同月份 對應的氣候修正係數, 。由於同樣的水分盈虧量在不同季節或不同月份的意義均有區別,故應對 按月份進行加權,通常情況下枯水月份權重高於豐水月份。 計算如下:
帕默爾乾旱指數
帕默爾乾旱指數
帕默爾乾旱指數
帕默爾乾旱指數
帕默爾乾旱指數
帕默爾乾旱指數為一年中不同月份 對應的水分虧缺量 的絕對值的多年平均值。由於帕默爾在導出該公式時使用的降水量單位為英寸,故當降水量和潛在蒸散發量單位為mm時應先將 轉換為英寸單位,即除以25.4。
帕默爾乾旱指數最後是為考慮前期水分情況的影響,使用持續時間因子對 指數進行進一步處理:
帕默爾乾旱指數
帕默爾乾旱指數
帕默爾乾旱指數
帕默爾乾旱指數
帕默爾乾旱指數和 分別為當前月和上一月份的PDSI值, 為當前月的 指數值。對於第一個月,
帕默爾乾旱指數
帕默爾乾旱指數
帕默爾乾旱指數
帕默爾乾旱指數
帕默爾乾旱指數
帕默爾乾旱指數
帕默爾乾旱指數
帕默爾乾旱指數
帕默爾乾旱指數
帕默爾乾旱指數
帕默爾乾旱指數 