基本介紹
嶺估計
當設計矩陣存在著復共線性關係時,最小二乘估計的性質不夠理想,有時甚至很壞。在這種情況下,需要一些新的估計方法。在這些方法中,嶺估計是最有影響且套用較為廣泛的估計方法。對於線性模型
嶺跡法嶺估計的回歸係數定義為
嶺跡法其中k>0為可選擇參數,稱為 嶺參數或 偏參數。
嶺跡法
嶺跡法當k取不同值時,得到不同的估計,因此,嶺估計 為一類估計。當k=0時, 就是通常的最小二乘估計。從嚴格意義上講,最小二乘估計是嶺估計類中的一個估計。
嶺跡法
嶺跡法
嶺跡法
嶺跡法
嶺跡法
嶺跡法
嶺跡法
嶺跡法在多重共線性下,由於 之間存在著較高的線性相關關係,導致 ,因此構想給 加上一個正常數矩陣 ,那么 接近奇異的可能性要比 接近奇異的可能性小甚至小很多,所以用 作為 的估計要比普通最小二乘法所得到的估計量穩定,這就是所謂的 嶺估計。
嶺估計方法的目的主要是減少均方誤差,提高估計量的穩定性,但其缺點是估計量是有偏的。可以看到,k值越大,估計量的方差就越小;同時,k的引入也會使最小二乘估計量的無偏性發生變化,變成有偏估計量,k越大,偏誤也就越大。而一個好的估計量應該是無偏的、方差最小的估計量,由於這兩個標準是相互矛盾的,因此k的確定就會變得很困難。到目前為止,雖然許多專家學者已提出多種確定k值的方法,但是,還沒有一種大家公認的、最優的確定k值的方法。
在實際套用中,嶺參數k的選擇是一個十分重要的問題,目前使用較多的方法是嶺跡法。
嶺跡法
嶺跡法
嶺跡法
嶺跡法
嶺跡法嶺估計 的分量 作為k的函式,當k在 之間變化時,在平面直角坐標系中 所描繪的圖像稱為 嶺跡曲線。我們可以根據嶺跡曲線的變化形狀來確定適當的k。常用的嶺跡曲線及其顯示出的相關特點如下:
圖1(a)
圖1(b)
圖1(c)
圖1(d)
圖1(e)
嶺跡法
嶺跡法
嶺跡法
嶺跡法
嶺跡法1) 在圖1(a)中, ,並且比較大。這時可以將 看做是對Y有重要影響的因素。但 的圖形不穩定,當k從零開始略增加時, 顯著地下降,而且迅速趨於零,從嶺回歸的觀點看, 對Y不起作用。
嶺跡法
嶺跡法
嶺跡法
嶺跡法2) 與圖1(a)相反的情況如圖1(b)所示, ,但很接近零,這時 對Y的作用不大,但是隨著k略增加, 驟然變為負值,從嶺回歸觀點看, 對Y有顯著的影響。
嶺跡法
嶺跡法
嶺跡法
嶺跡法3) 在圖1(c)中, ,說明 還比較顯著,但當k增加時,迅速下降,且穩定為負值,這時 是對Y有重要影響的顯著因素,從嶺回歸分析的角度看, 對Y有負影響的因素。
嶺跡法
嶺跡法
嶺跡法
嶺跡法
嶺跡法
嶺跡法
嶺跡法
嶺跡法4) 在圖1(d)中, 和 都很不穩定,但其和卻大體穩定。這種情況往往發生在自變數 和 的相關性很大的場合,即在 和 之間存在多重共線性的情形,從選擇自變數的角度,兩者只保存一個就夠了。這種情況可以解釋某些回歸係數估計的符號不合理的情形,從實際觀點看, 和 不應有相反符號。
5) 從全局看,嶺跡分析可用來估計在某一具體問題中最小二乘估計是否適用,把所有回歸係數的嶺跡都繪製在一張圖上,如果這些曲線比較穩定,如圖1(e)所示,利用最小二乘估計會有一定的把握。
利用嶺跡法可以確定k,一般確定k需要遵循下面幾個原則:
1) 回歸方程各回歸係數的嶺估計基本穩定;
2) 用普通最小二乘法估計時,正負號表現出不合理的回歸係數,而利用嶺估計其符號變得合理,即嶺估計方法的使用改善了回歸方程參數估計的效果;
3) 回歸係數沒有出現不合理的符號;
4)估計量的精度沒有降低太多,即殘差項的平方和增大得不太多。
其他k值確定方法
下面僅針對嶺估計方法,介紹幾種常用的k值確定方法。
方差擴大因子法
嶺跡法在識別多重共線性時,我們了解了方差擴大因子的概念,其可以用於度量多重共線性關係的嚴重程度,一般,當方差擴大因子>10時,模型的多重共線性關係就嚴重影響到估計量的質量。如果計算 的協方差,得
嶺跡法
嶺跡法
嶺跡法
嶺跡法
嶺跡法
嶺跡法則此式中矩陣 的對角元素 就是嶺估計的方差擴大因子。不難看出, 隨著k的增大而減少。套用方差擴大因子選擇k的經驗做法是,選擇使所有方差擴大因子 的k,這樣的k會使得嶺估計 相對穩定。
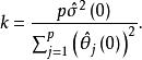
此外,還可以根據Hoerl、Kernard和Baldwin(1975)提出的方法取k的固定值。具體確定方法如下:對於標準化的回歸模型
嶺跡法k的計算公式是
嶺跡法
嶺跡法
嶺跡法
嶺跡法其中, 為 時回歸模型參數的最小二乘估計, 為回歸方程的殘差均方。
疊代法
嶺跡法
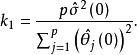
嶺跡法疊代法是將上面計算的k的固定取值作為k的初始值,記為 ,然後建立回歸方程,估計回歸方程的參數,並計算新的k,即 :
嶺跡法
嶺跡法
嶺跡法
嶺跡法按同樣的方法,用 計算 ,重複這一過程,直到 的前後兩個估計值之間的差異不是很明顯為止。

