介紹
岩體強度低於同種岩石試件強度,岩體抗壓強度高,抗拉強度低。岩體在三向壓縮應力狀態下的強度要高於單向應力狀態時的強度。岩體結構對岩體強度有很大影響,如層狀結構岩體中,載荷垂直層理時的岩體抗壓強度要大於載荷平行層理時的強度;而岩體抗拉強度則相反。
同種岩體在單向應力狀態下,結構面產狀和數目對岩體強度影響很大。載荷作用方向與結構面夾角為α=π/4+φ/2時,岩體強度最低,實際上此時反映的是結構面強度。在三向壓縮應力狀態下,隨著側向應力增大,結構面對岩體強度的影響減弱。岩體經受風化或長期載荷作用,岩體強度將逐漸削弱。地下水是使岩體強度降低的重要因素之一。地下水使岩體被軟化,依據組成岩體的成分,親水性以及組織緻密程度的不同,岩體強度降低程度也不同。岩體結構面中有承壓水或流動水作用使結構面強度降低,並進而使岩體強度也隨之減小。
岩體強度可直接由室內或原位大型岩體試驗的方法獲得。
岩體強度類型
岩體-抵抗因受力而破壞的能力。它是岩體力學的研究內容。岩體可由一種或幾種岩石構成,即使是一種岩石,其礦物成分和結構也常有變化,從而導致岩體強度分布的不均勻性。岩體中的地質不連續面不僅使岩體強度削弱,且多呈趨勢性的定向排列,使岩體強度具有明顯的各向異性。岩體強度包括完整岩體強度、節理岩體強度和不連續面抗剪強度。
完整岩體強度
在某些工程中地質不連續面的影響可以忽略。例如,岩鹽類岩體有“傷口自動癒合”的功能,從而可用岩鹽材料的強度代替岩鹽體的強度來分析有關的岩體力學問題。又如,發生岩爆的條件之一是開挖體圍岩比較完整,這時作為一次近似,可視岩體為完整材料以進行應力分析,並且用材料強度來估計岩體強度,而外圍岩體及其結構的影響可只作為環境因素加以考慮。
節理岩體強度
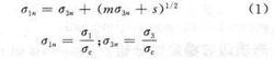
受多組節理切割的岩體可作為各向同性體看待。這時,可用以估算岩體強度的一種公式曾由霍克(E.Hoek)和布朗(E.T.Brown)提出:
岩體強度式中σ為岩體所含完整岩塊的主應力和單軸抗壓強度;m和s為取決於節理切割特徵和岩石類型的參數。
不連續面抗剪強度
岩坡的平面型滑動或楔體型滑動、地下巷道頂板和兩幫塊體的滑塌,均取決於地質不連續面的抗剪強度。不連續面可分為兩種類型:一種是兩壁直接接觸而不含充填物,如“乾淨”節理;另一種則含有充填物。對於前者,巴頓(N.Barton)給出的抗剪強度公式τ為:
τ=σtan﹝φ+JRC×lg(σ/σ)﹞
式中σ為節理面上的法向應力;φ為岩石材料磨光面的基本摩擦角或節理面殘餘摩擦角;JRC為節理粗糙度係數,它與不連續面的凹凸起伏有關;σ為節理面岩石材料的單軸抗壓強度。此式說明,在低法向應力條件,節理面的有效摩擦角高於材料的基本摩擦角是由岩面上凹凸不平的突起的嚙合作用引起的。隨著法向應力的增高,岩面上的突起在剪下過程中將逐漸被破壞,嚙合作用減弱,有效摩擦角逐漸減小,因此剪下強度具有非線性性質。
對含充填物的不連續面,只要充填物的厚度達到使突起無法阻止滑動的程度,則其抗剪強度就將由充填物的強度確定。例如,斷層泥將決定斷層的抗剪強度。斷層泥之類的抗剪強度可用庫侖定律描述,即τ=c+σtanφ。式中φ為充填物的摩擦角;c為充填物的粘聚力。事實上,這個簡單的線性公式也廣泛用來表示乾淨節理的非線性強度。這時,c、φ值可分別按抗剪強度曲線上對應的法向應力處的切線在τ軸上的截距和同σ軸的夾角來確定。
分級圖
岩體強度分級圖系以岩性組合圖為製圖基礎,以岩石單壓強度、岩體結構類型為岩體強度分級之依據。
岩石單壓強度
岩石單壓強度除了普遍被用來當作岩石材料的一項力學性質外,也是岩體工程特性的重要指標。當岩體較為完整或不連續面稀少時,岩石的強度即為岩體的強度。岩石強度的分級系參考「國際岩石力學協會」ISRM (1981),並配合Franklin(1975)之岩體分級方法,分為8級。
岩體結構類型
影響岩體強度特性的因素取決於不連續面的發育程度,在單位岩體內不連續面的密度愈高,岩體強度愈低,至於不連續面的密度,主要隨著組數的增加或不連續面間距的減小而增加。目前對於岩體中不連續面的發育程度尚無整體性量化的評估,為了能在野外快速獲取不連續面狀態,乃運用視覺化之岩體結構類型來進行半定量的評估,以表示不連續面的狀態。岩體結構類型分為6類:(a)整體結構、(b)塊狀結構、(c) 塊狀裂隙結構、(d)層狀結構、(e) 薄層結構、(f)碎裂結構。
岩體強度分級
岩體強度分級方式是以Franklin (1975)所提出的方法,以岩石的強度與不連續面的間距二者作為劃分的參數,根據對岩體調查所得到的不同參數組合,而得到Ⅰ~Ⅶ級之岩體強度分級。

