簡介
居里-外斯定律
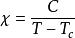
居里-外斯定律居里-外斯定律為居里定律的修正公式,用來補足該公式的不足。 當一物質的溫度大於居里溫度 時,其磁化率 與溫度T的關係式為:
居里-外斯定律其中:
C是該物質的居里常數
T是絕對溫度,單位為K
T是該物質的居里溫度,單位為K
居里-外斯定律根據該定律,當時,磁化率為無窮大。而當低於此溫度時,鐵磁性物質將會自發磁化。
基本概念
一個磁性物質的磁化向量(或稱磁化強度)代表單位體積該物質的磁矩強度。而磁矩可能由原子內的電子運動或者是自旋所產生。而淨磁化向量可能由外加磁場誘導產生,甚至可能不需要施加外加磁場也能產生磁化向量(例如足夠低溫狀態下的鐵),其中後者被稱之為自發磁化。
而其他與鐵擁有同樣性質的物質,如鎳與磁鐵礦,被稱之為鐵磁性物質。鐵磁性物質在足夠低的溫度下將會不須施加外部磁場也會產生磁性,而該臨界溫度稱之為居里溫度。

