簡介
小三角測量的圖形一般布設為鎖、網形式,根據觀測的元素的不同,有測角網、測邊網和邊角網三種。如果鎖(網)附合於高一級控制點上,由於有起始數據,則只需要觀測三角形的所有內角;如果布設的是獨立鎖(網) ,除觀測所有三角形的內角外,還應測量至少一條邊長及其方位角,作為推算其他各邊邊長及方位角的依據,此兩種鎖(網)的外業工作主要是角度測量,故稱為測角網。如果用光電測距儀測量全部邊長,不測角度,這種網稱為測邊網。為了提高精度,既測邊又測角的網,稱為邊角網;邊角網可以測量全部邊和角,也可以測量部分邊和角,最佳化邊、角的組合,即只需觀測某些邊和角,就能滿足預定的精度要求。小三角測量是在小區域內布設邊長較短的三角鎖(網),精度要求較低,可用近似平差進行數據處理。
小三角鎖的基本形式
小三角鎖
圖1(a)是一端有基線邊(AB)和若千三角形組成的小三角鎖;圖1(b)是兩端有基線邊(AB和CD)的小三角鎖。
中心多邊形
如圖2所示,有若千個三角形共有一個頂點組成的中心多邊形,稱為中心多邊形,圖中AB為基線。
四邊形
如圖3所示,以已知點A、B為基線與兩個未知點組成的圖形(並觀測兩對角線方向),稱為四邊形。
線形三角鎖
如圖4所示,在兩個高級控制點AB間布設的小三角鎖,稱為線形三角鎖(簡稱線形鎖)。
小三角測量的外業工作
小三角測量的外業工作包括踏勘選點、基線測量、角度觀測及起始邊定向。
踏勘選點
踏勘選點的任務是根據測區的地形及測區附近高級控制點的情況,確定三角鎖(網)的布置形式,並選定基線位置及三角點的位置。選點時應注意以下幾點:
1、基線邊應選在地勢比較平坦而便於測量距離的地方(當用測距儀測距時可不考慮此項)。當布設小三角鎖時,三角形超過5個,一般應在鎖的兩端各選一條基線。
2、三角點應選在視野開闊的高處,相鄰三角點應通視,便於測角。三角形邊長按測圖比例尺而定,一般規定為圖上的100 ~ 200mm。測角三角鎖的三角形個數一般不要超過12個。
3、為了保證推算邊長的精度,各三角形的內角一般應不小於30°或不大於120°(邊角網或測邊網可不受此限)。
三角點選好後,應埋設標誌,並統一-編號,為便於尋找點位,還需繪製各三角點的點之記。
基線測量
基線長度是推算三角鎖(網)其他各邊長的起始數據,其相對誤差應達到相關規定。可用鋼尺量距,也可使用電磁波測距儀測量基線長度。按《水利水電工程測量規範》規定,若光電測距儀出廠精度為1cm,用單向三組觀測,每次讀數3次,各組互差不超過1cm,觀測時應測定溫度、氣壓,並觀測豎直角,進行氣象改正和傾斜改正,求得水平距離。
角度觀測
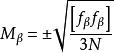
由於小三角鎖(網)的三角點上觀測的方向數往往多於兩個,所以水平角觀測一般採用方向觀測法(全圓測回法)觀測比較方便。測角中誤差M按下列公式計算:
小三角測量式中f為三角形的角度閉合差;N為三角形的個數。
起始邊方位角的測定
與高級控制點連線的小三角鎖(網),只需測連線角,就有了起始方位角。獨立小三角鎖(網),可用羅盤儀測定起始邊的磁方位角。
小三角測量的內業計算
兩端有基線的小三角鎖示意圖當小三角鎖為測角網時,其數據處理一般採用近似平差方法,,儘管三角鎖布設形式不同,圖形條件也不同,但計算方法大同小異。現以兩端有基線的小三角鎖為例,闡述近似平差的計算方法。
圖為兩端有基線的小三角鎖,A、B為高級控制點,EF為實測基線邊,設AB為d、EF為d,方位角α為已知,外業觀測了所有三角形的內角:a、b、c(i=1、....n)。因此,各三角形的內角應滿足內角和的條件,稱為圖形條件。另外還應滿足基線條件,也叫邊長條件,即由起始邊邊長d及三角形的內角可算得終邊的邊長d ,它應等於直接測量的長度d,如不等則產生基線閉合差,一般認為基線丈量的精度較高,基線閉合差主要由推算邊長時所用觀測角度的誤差引起。

