二連線埠網路
二連線埠網路對外具有4個引出端子,分別構成兩對連線埠,其中一對連線埠為輸入口,加激勵信號;另一對連線埠為輸出口,得到回響信號。連線埠條件滿足: 從任意一對連線埠的一個端子流入的電流,必須等於從該對連線埠另一個端子流出的電流。如右圖所示,即流入端子1和2的電流必須分別與流出端子1′和2′的電流相等。這樣的四端網路稱為二連線埠 。
互易二連線埠網路
定義
互易二連線埠網路是在連線埠1上加一個電流,在連線埠2上產生相應的電壓;在連線埠2上加與前者相同的電流,在連線埠1上產生相應的電壓。若兩個連線埠產生的電壓相等,則稱二連線埠網路是互易的。將上述的電流和電壓交換,所描述的定義與上述定義是等價的。
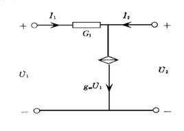
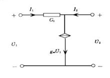
另一種表述方式與上述定義等價,內容為:連線埠1的電壓除以連線埠2的短路電流之商等於連線埠2的電壓除以連線埠1的短路電流之商,則稱二連線埠網路是互易的。通常,若組成網路的元件都是線性無源元件(電阻、電容和電感),則這個網路是互易的;若網路包含有源元件(如電晶體、集成運放、發生器、數字電路器件等),則網路不是互易的。另外,含有受控源的二連線埠網路一般不具有互易性。
參數特點
互易二連線埠各組參數間的關係為:
Z =Z
Y =Y
H =-H
對稱二連線埠網路A A -AA=1=
對於互易二連線埠,任意一組參數中只有三個是獨立的。
對稱二連線埠網路
定義
對稱二連線埠網路如果一個互易二連線埠網路的兩個連線埠可以交換,而交換後連線埠電壓和電流的數值不變,則稱這樣的二連線埠網路為對稱二連線埠網路。
參數特點
對稱二連線埠的各組參數除滿足互易二連線埠的關係外,還具有以下關係:
Z =Z
Y =Y
A =A
對稱二連線埠網路H H -HH=1=
對稱二連線埠的任意一組參數中只有兩個是獨立的。

