
【英文名稱】methothrin
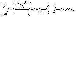
【結構或分子式】
分子結構:
雙鍵原子以及苯環C原子均以sp2雜化軌道形成σ鍵。
分子中其它C、O原子均以sp3雜化軌道形成σ鍵。
【相對分子量或原子量】302.21
【密度】0.9
【沸點(℃)】142~144(2.67Pa)
【折射率】1.5232(20℃)
【性狀】
原藥為淡黃色至紅棕色透明油狀液體。純品為無色油狀液體。
【溶解情況】
易溶於醇、丙酮、苯、甲苯等有機溶劑,也溶於煤油,不溶於水。
【用途】
甲醚菊酯用於防治蚊、蠅等衛生害蟲,可以用來製作蚊香及電熱驅蟲片。甲醚菊酯蚊香中,一般有效成分0.35%,並加有適量的增效劑;其煤油噴射劑,用於殺滅室內蚊蠅,每立方米空間用量為0.5~2.0ml。
【製備或來源】
氯化氫氣體飽和的無水乙醇中,攪拌下加入甘氨酸,加熱回流至全溶,得甘氨酸乙酯鹽酸鹽。亞硝酸鈉水溶液中,加入2,5-二甲基-己-2,4-二烯(由丙酮與乙炔反應製得),滴入pH1.0的甘氨酸乙酯鹽酸鹽水溶液(用10%硫酸調節),反應溫度18~20℃,得重氮乙酸乙酯,加入沉澱銅催化劑和少量對甲苯酚,攪拌下回流至無氮氣放出,收集114~121℃(3.33kPa)餾分,得菊酸乙酯,用氫氧化鈉的乙醇溶液使之皂化,脫去乙醇、水後,加極性非質子溶劑4-(甲氧甲基)苄氯、催化劑,85~90℃反應數小時,收集190℃(0.67Pa)餾分,即得甲醚菊酯。4-(甲氧基甲基)苄氯以對二甲苯為原料製成對二氯苄後,經醚化反應製得。製劑主要有:20%乳油(另加增效劑),0.2%煤油噴射劑(另加苯醚菊酯或胺菊酯或戊菊酯),蚊香,電熱驅蚊片。
【消耗定額(t/t)】
菊酸乙酯0.82;4-(甲氧基甲基)苄氯0.74;2,5-二甲基-己-2,4-二烯1.64;甘氨酸0.88。
【其他】
遇鹼分解,銅促進其分解。急性經口毒性LD50(mg/kg):大白鼠4040,小白鼠1747。對豚鼠皮膚無刺激和致敏作用。大白鼠經口最大無作用劑量為8.08mg/kg。將家兔置於43mg/立方米濃度空間,每天4h,連續90天無影響。吸入安全濃度為9mg/立方米。ADI小於0.54mg/kg。如誤服,套用大量水洗胃,並服用活性炭,若出現呼吸障礙、痙攣等中毒症狀時,應採用給氧,進行人工呼吸並給鎮靜劑等措施進行治療。
【包裝及貯運】
20%乳油蚊香料1kg塑膠瓶裝,每箱10瓶。允許與鹼性物質混合使用,作蚊香時避免太陽光直接照射。原油有1、2.5、5、10kg塑膠瓶(桶)裝,1kg的每10瓶再用紙板箱包裝。貯運時,嚴防損壞包裝,防止強光照射,不得與鹼性物質、食品混放。貯存在乾燥、避免關照和通風良好的倉庫。
