基本介紹
對數方程組是指由幾個對數方程,或至少有一個對數方程和幾個代數方程組成的方程組。解對數方程組的方法主要是三種:
1) 利用對數方程的解法,“化去”底和對數符號,化為代數方程組。或用換元法把原方程組化為代數方程組。
2) 利用過去學過的方程組解法,如代入法、加減法,相乘或相除等消元,化為含有一個未知數的方程。
3) 將以上兩種方法結合使用。
和解對數方程一樣,要注意增根或遺根問題 。
例題解析
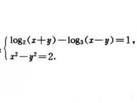
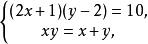
【例1】解方程組:
對數方程組解:原方程組化為
對數方程組解此方程組,得到
對數方程組檢驗後知道,原方程的解為:
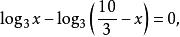
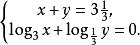
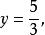
對數方程組【例2】解方程組:
對數方程組解:原方程組化為
對數方程組(1)代入(2):
對數方程組解此方程得:
對數方程組將x的值代入(1)得
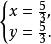
對數方程組經檢驗,原方程的解為
對數方程組
