定義
設A為n階實矩陣,如果A =-A,則稱A為實反對稱矩陣。
說明:A 表示轉置矩陣,有時候也記為A'或者A 。
實反對稱矩陣若矩陣A滿足條件A=-A ,則稱A為反對稱矩陣。由定義知反對稱矩陣一定是方陣,而且位於主對角線兩側對稱位置上的元素必符號相反,即,其中i、j為任意不大於矩陣維數的實數。
相關定理
實反對稱矩陣有如下性質:
性質1:奇數階反對稱矩陣的行列式值為0。
實反對稱矩陣性質2:當A為n階實反對稱矩陣時,對於有X AX =0。
性質3:實反對稱矩陣的特徵值是零或純虛數。
性質4:若A為實反對稱矩陣,A的特徵值λ= bi(b≠0)所對應特徵向量α+βi中實部與虛部對應的向量α、β相互正交 。
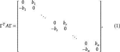
性質5:若A為n階實反對稱矩陣,則存在n階正交矩陣Γ,使得
實反對稱矩陣式中,±ib(k=1,2,…,n)是A的全部非零特徵值。k=1,2,…,r,A的秩r(A)=2r,矩陣(1)稱為實反對稱矩陣A在正交相似下的標準形。
例題解析
【例1】設A為n階反對稱方陣,A*為其伴隨矩陣,證明:當n為奇數時,A*為對稱方陣;當n為偶數時,A*為反對稱方陣。
證明 由於A*中每個元素均為A中的n-1階子式,故對任意數k有
實反對稱矩陣又因A'=-A,故可得
實反對稱矩陣
實反對稱矩陣
實反對稱矩陣當n為奇數時,,即A*為對稱方陣。當n為偶數時,,即A*為反對稱方陣 。
【例2】證明:實反對稱矩陣的特徵根是零或純虛數。
實反對稱矩陣證明 設A為實反對稱矩陣,λ是它的任意一個特徵根,而是屬於特徵根λ的一個特徵向量,即
實反對稱矩陣一方面,有
實反對稱矩陣另方面,又有
實反對稱矩陣故
實反對稱矩陣但是
實反對稱矩陣故
實反對稱矩陣即λ為零或純虛數 。
【例3】證明:1)若A,B為同階實對稱矩陣,則AB-BA的特徵根只能是0或純虛數;
2)若A為實反對稱矩陣,則|A+E|≠0。
證明 1)因為A,B都是實對稱矩陣,故:
(AB-BA)'=(AB)'-(BA)'=B'A'-A'B'=BA-AB=-(AB-BA),
故AB-BA為實反對稱矩陣,由上題知,其特徵根只能是0或純虛數。
2)設若|A+E|=0,則便有|-E-A|=0,這說明A有特徵根-1,這與A是實反對稱矩陣矛盾,故必|A+E|≠0。
實反對稱矩陣注:若A不是實的反對稱矩陣,則結論不成立。例如,是反對稱矩陣,但顯然|A+E|=0 。

