簡介
復反對稱矩陣是一種反對稱矩陣,指
復反對稱矩陣
復反對稱矩陣的n階復矩陣。
性質
復反對稱矩陣
復反對稱矩陣任意的復反對稱矩陣K正交相似於反對稱矩陣,即存在一個正交矩陣T,使,其中
復反對稱矩陣
復反對稱矩陣是準對角矩陣(都是奇數),子塊
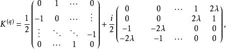
復反對稱矩陣
復反對稱矩陣上式第一個q階矩陣中主對角線以上的斜線上依次有(q-1)/2個1與(q-1)/2個-1,而主對角線以下的斜線上則依次有(q-1)/2個-1及(q-1)/2個1。
同樣,第二個q階矩陣中次對角線以上及以下的斜線上自左至右均依次有(q-1)/2個-1與(q一1)/2個1。
反對稱矩陣
設A為n維方陣,若有A'=-A,則稱矩陣A為反對稱矩陣。對於反對稱矩陣,它的主對角線上的元素全為零,而位於主對角線兩側對稱的元反號。反對稱矩陣具有很多良好的性質,如若A為反對稱矩陣,則A',λA均為反對稱矩陣;若A,B均為反對稱矩陣,則A±B也為反對稱矩陣;設A為反對稱矩陣,B為對稱矩陣,則AB-BA為對稱矩陣;奇數階反對稱矩陣的行列式必為0。反對稱矩陣的特徵值是0或純虛數,並且對應於純虛數的特徵向量的實部和虛部形成的實向量等長且互相正交。
