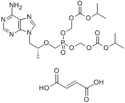
中文名稱
富馬酸替諾福韋酯
【中文別名】(R)-9-(2-磷酸甲氧基丙基)腺嘌呤二(異丙氧羰基氧甲基)酯富馬酸鹽
英文名稱
Tenofovir disoproxil fumarate
【英文別稱】9-((R)-2-((Bis(((isopropoxycarbonyl)oxy)methoxy)phosphinyl)methoxy)propyl)adenine fumarate; bis({[(1-methylethoxy)carbonyl]oxy}methyl) {[(1R)-2-(6-amino-9H-purin-9-yl)-1-methylethoxy]methyl}phosphonate (2E)-but-2-enedioate
化學名
(R)-[[2-(6-氨基-9H-嘌呤-9-基)- 1-甲基乙氧基]甲基]膦酸二異丙氧羰氧基甲酯富馬酸鹽
CAS號
202138-50-9
分子式
C23H34N5O14P
分子量
635.5149
InChI
InChI=1/C19H30N5O10P.C4H4O4/c1-12(2)33-18(25)28-9-31-35(27,32-10-29-19(26)34-13(3)4)11-30-14(5)6-24-8-23-15-16(20)21-7-22-17(15)24;5-3(6)1-2-4(7)8/h7-8,12-14H,6,9-11H2,1-5H3,(H2,20,21,22);1-2H,(H,5,6)(H,7,8)/b;2-1+/t14-;/m1./s1
沸點
642.7°C at 760 mmHg
閃點
342.5°C
溶解性
13.4mg/ml(25℃,水)
蒸汽壓
2.06E-16mmHg at 25°C
用途
核苷酸逆轉錄酶抑制劑,是替諾福韋(PMPA,2)的前藥,臨床主要用於治療人類免疫缺陷病毒(HIV)感染。
理化性質
本品為白色或類白色結晶性粉末;無臭。在二甲基甲醯胺中易溶,在甲醇中溶解;在水、乙腈中微溶。熔點113~118℃

