定義
RFM方法是國際上最成熟、最為接受的客戶價值分析方法,RFM實際上是一整套分析方法中的部分內容,但最具代表性,其它還包括客戶購買行為隨機模型、馬可夫鏈狀態移轉矩陣方法、貝氏機率推導狀態移轉機率方法、回歸擬合方法等。
本篇客戶價值分析套用實例摘自SynleadCRM客戶關係管理系統。
基本假設
隨機模型除了顯示購買頻率機率、平均金額機率的密度分配,還隱藏著購買頻率、平均金額的狀態移轉期望值和機率這兩個秘密,等待被揭示。
揭秘後,您就更加理解用必要長度和寬度的樣本數據建立起一套牢固、可靠隨機模型的重要意義,樣本越大,客戶價值推測結果就越接近即將發生的事情。
【客戶隨機購買行為的六個基本假設】
假設一:假設客戶隨機購買頻率和隨機購買金額兩個不同的行為緯度互相獨立,不具有相關性。
假設二:假設客戶的購買狀態移轉行為符合馬可夫鏈的假設,這表示客戶下一期購買狀態發生的機率只和上一期的購買狀態有關。
假設三:假設個別客戶購買頻率為卜松分配(Poisson Distribution)。
假設四:考慮客戶的異質性,假設上述個別客戶單位時間平均購買次數服從伽瑪分配(Gamma Distribution)。
假設五:假設個別客戶有購買行為的各期平均單次購買金額為伽瑪分配(Gamma Distribution)。
假設六:考慮客戶的異質性,假設上述各期平均單次購買金額又符合另一個伽瑪分配(Gamma Distribution)。
觀察隨機模型
| 頻率機率密度 | 平均金額機率密度 |
客戶價值分析 | 客戶價值分析 |
客戶價值分析 | 客戶價值分析 |
曲線形狀均由其參數a、b、p、q、k決定。
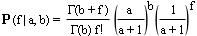
頻率機率符合負二項分配,參數a、b由客戶的平均購買頻率計算出來。假設有一組樣本,對應n家成交客戶,fi(i = 1, 2 … n)【樣本長度為n】表示每家客戶的平均購買次數,通過最大概似估計法可求得a、b,並且可求得平均頻率 = b/a。頻率模型為離散函式,f>0,頻率平均值=ceil(b/a)=ceil(2.67/1.84)=2。示例的無成交機率P(0)≈31%,意味著其餘有成交機率之和ΣP(i)≈69%,其中P(1)≈30%(峰值),P(2)≈19%,P(3)≈10%。
平均金額機率符合伽瑪-伽瑪分配,參數p、q、k由客戶的平均購買金額計算出來。假設共有n家客戶【樣本長度為n】,且每家客戶有發生購買行為的期數分別為hk(k=1, 2 … n)【樣本寬度分別為hk】,每家客戶有發生購買行為期間的該期平均單次購買金額為mi,j(i=1, 2, … n, j=1, 2, … hi),通過最大概似估計法可求得p、q、k,並且可求得對應峰值機率的平均金額 = (p-1)/(q+1)*k。平均金額m的機率分配為連續函式,m>0,p、q為形狀參數,k為尺度參數。示例的峰值機率位於m=9646.96,P(9646.96)=0.00003323598657260607。
從上面隨機模型中您已能初步觀察到購買頻率、平均金額的機率密度分配。
推導購買頻率、平均金額移轉期望值
以平均金額為例,觀察以下圖形:
圖3
藍色的就是平均金額機率曲線,紫色的是m軸每個mi坐標乘以對應藍色機率pi得到的新曲線。換句話說,紫色包絡線上每個點的值都是藍色包絡線對應點的mi倍。
在上圖任意位置mi作條垂線,垂線至m=500,000.00(假設此為歷史最大平均金額)之間,紫色面積除以藍色面積,結果就是mi的狀態移轉期望值。可對m設定一些刻度,如0.01、1,000.00、10,000.00、100,000.00、200,000.00、300,000.00、400,000.00,即可得到這些刻度的對應的平均金額移轉期望值。
用積分表達式描述就是:平均金額移轉期望值 = ∫紫色曲線函式dm / ∫藍色曲線函式dm,積分區間由mi到500,000.00。
購買頻率移轉期望值也類似,只是頻率機率為離散函式。
推導購買頻率、平均金額移轉機率
| 從隨機模型推導移轉機率要複雜些,與上述求面積不同,它是一個求體積的計算(二重積分),較為抽象。 二重積分在直角坐標系中求體積的示意圖如右。下面我們換個角度,不在三維坐標系中談體積積分,而是繼續用求面積這種更直觀的方式來推導平均金額移轉機率。 基礎知識:客戶從上期狀態移轉至下期狀態,在馬可夫鏈中記作(r1, f1, a1≤m1 圖4 |
平均金額由m1移轉到m2的移轉機率記作fm(m2 | a1≤m1
與推導移轉期望值相似,當期望值m2分別等於0.01、1,000.00、10,000.00、100,000.00、200,000.00、300,000.00、400,000.00時,也可用下圖的a1至b1之間的綠色面積除以對應的藍色面積來推到平均金額的移轉機率。
圖5
圖5中的藍色曲線就是圖2的平均金額機率函式。綠色曲線就不是平均金額機率pi去乘以m坐標軸的每個對應mi,而是去乘以另一個貝氏事後機率密度函式,這個函式是{[Γ(2p+q) * m2p-1 * (k+m1)p+q] / [Γ(p) * Γ(p+q) * (m2+m1+k)2p+q]},它是通過由果導因的方法獲得。
當m2分別等於0.01, 1,000.00, … 400,000.00時,就得到圖5的不同圖形。當m2等於某值時,用m軸a1至b1之間的綠色面積除以對應的藍色面積就得到平均金額移轉機率fm(m2 | a1≤m1 用積分表達式就是: fm(m2 | a1≤m1 其中H = ∫a1b1[Γ(2p+q) * m2p-1 * (k+m1)p+q] / [Γ(p) * Γ(p+q) * (m2+m1+k)2p+q] * [P(m1 | p,q,k)] dm1
其中L = ∫a1b1[P(m | p,q,k)] dm
而實際上m2也是一個連續變數,從a1≤m1 fm(a2≤m2 類似地,也使用貝氏機率方法推導頻率移轉機率,馬可夫鏈中的r1值(無成交期數)、頻率隨機模型中的信任區間也是兩個重要計算因素。
移轉期望值及移轉機率計算
針對上述舉例,移轉期望值及移轉機率的推導結果如下:
| 樣本數據的最小頻率=1,最大頻率=3: | 樣本數據的最小平均金額=0.01,最大平均金額=499,999.00: |
| 最近成交期的頻率f1 下期的頻率期望值f2 最近成交期至下期的未成交期數r1下期的頻率期望值機率p f1≥1 → f2≥2:r1=0, p=0.3606;r1=1, p=0.2949r1=2, p=0.2356;r1=3, p=0.1892 f1≥2 → f2≥2:r1=0, p=0.3606;r1=1, p=0.2949r1=2, p=0.2356;r1=3, p=0.1892 f1≥3 → f2≥3:r1=0, p=0.1367;r1=1, p=0.0958r1=2, p=0.0669;r1=3, p=0.0477 | 最近一期平均金額m1 下期平均金額的期望值m2、機率p 0.01≤m1<1,000.00m2=39,510.75,p=0.0126 1,000.00≤m1<10,000.00m2=39,598.21,p=0.3719 10,000.00≤m1<100,000.00m2=46,920.90,p=0.8754 100,000.00≤m1<200,000.00m2=186,871.69,p=0.4707 200,000.00≤m1<300,000.00m2=296,732.74,p=0.3049 300,000.00≤m1<400,000.00m2=379,455.72,p=0.2227 400,000.00≤m1<500,000.00 m2=445,441.60,p=0.1748 |
某客戶下期的購買金額 = (該客戶的)下期頻率 * 下期平均金額 * 下期頻率機率 * 下期平均金額機率
行銷費用
CRM毛利 = 購買金額 - 產品成本 - 關係行銷費用。
RFM只預測客戶下期的購買金額,RFM並不預測下期的毛利率和費用。對個別客戶以往的毛利率、費用採取平均法或移動平均法,套用於下期,該推斷顯然不合適;採取如RFM的機率分析方法去推斷下期毛利率和費用也不合適,因為這兩者並不是源自客戶(或企業、員工)的隨機行為,而更是源自企業總體成本控制和差別應對。
【銷售毛利率、關係行銷費用的五個基本假設】
假設1:假設銷售毛利率和關係行銷費用是兩個不同的控制緯度,不具有相關性。 假設2:假設個別客戶下期的銷售毛利率最接近該客戶有成交上期的毛利率。 假設3:假設個別客戶上期、下期之間存在無交易期數,則下期銷售毛利率的升、降,服從該客戶在無交易期間的企業整體毛利率的擬合回歸規律。 假設4:假設個別客戶下期的關係行銷費用服從該客戶以往的費用、購買金額比例,即服從關係行銷投入產出比。 假設5:假設個別客戶下期可能存在一個最小關係行銷費用基數,它相當於該客戶以往各期費用中的最低值。
下期產品成本
下期產品成本 = 下期購買金額 * (1 - 下期銷售毛利率)
如果某客戶上、下期之間無交易期數為0,則下期毛利率 = 上期毛利率。上期指有成交的最近一期。
如果某客戶上、下期之間無交易期數為r1 (r1>0),則下期毛利率 = 上期毛利率 * (1 + Δ)。其中Δ = (上期至r1=0期之間的)線性回歸方程的斜率 * r1 / 2,用Δ對毛利率進行微調。之所以採用線性擬合回歸,是因為決定係數R2在這裡並不重要,我們僅是求得無交易期間的企業整體毛利率升、降趨勢,並且不是用擬合回歸方程本身去預測下期毛利率。
圖6
下期關係行銷費用
定義:Ratei = Σ客戶i以往費用 / Σ客戶i以往購買金額
Expensei = 客戶i以往各期中最小的那期費用(大於0)
Monetaryi = 客戶i下期購買金額
Xi = Monetaryi * Ratei
如果Xi > Expensei,則下期費用 = Xi;
否則如果Monetaryi < Expensei,則下期費用 = Xi;
否則,下期費用 = Expensei
對下期的毛利率和費用還可手工修正
用SynleadCRM分析客戶價值時,選項“提取產品成本”表示提取以往產品成本並推算今後幾期的產品成本,選項“提取費用”表示提取以往關係行銷費用並推算今後幾期的關係行銷費用。前面提到,產品成本和關係行銷費用屬於企業總體成本控制和差別應對,其未來變化不一定按趨勢平滑,可能下期個別客戶或整體客戶群的情況出現逆反或抖動。依據您的判斷,在SynleadCRM中對下期的毛利率和費用還可手工個別/批量地調整、修正。
另一方面,也可能出現少許產品成本、費用數據沒有及時填寫進CRM系統,例如“機會-產品”中未及時填寫或更新產品/銷售價/成本價,造成統計時產品成本=0.00、毛利率=100%;或者極特殊的數據沒有排除,例如上期毛利率為負值。該情況也需要對個別客戶的下期毛利率進行手工修正。
客戶價值
客戶價值 = CRM毛利 = 購買金額 - 產品成本 - 關係行銷費用。在完整客戶關係生命周期內(從建立關係到未流失的最近一期),分析客戶今後價值的意義遠遠大於分析客戶歷史價值,因此通常所講的客戶價值分析是對客戶今後的價值進行分析。
SynleadCRM分析客戶今後三期價值的同時,也向您展示客戶的歷史價值作為參照。
| 圖7 | 對預測出的今後客戶價值結果,您就可按客戶價值分層。CRM客戶關係管理將傳統的整體行銷推進到分塊差別化行銷、一對一差別化行銷的高度,其立足點就是客戶價值差別化分析。 通過預測客戶價值,您就清楚一旦VIP客戶、大客戶流失將在今後造成怎樣的利潤損失;也可以找出那些臨近虧本或負價值的客戶,進行置疑分析,找出對策。 也要清醒地認識到,即便預測出的客戶價值較高,也只是說明其價值勢能(購買潛力)較高,坐等客戶送上門的價值動能(實際購買)是不現實的,必須回過頭去用CRM基礎方法論踏踏實實地與客戶互動,推動客戶追加購買、交叉購買。 |
客戶價值分析,是企業決策最重要的依據之一,請做好您企業的客戶價值分析,正確指引商務運營。

客戶價值分析
客戶價值分析
客戶價值分析
客戶價值分析 