基本介紹
學生化內殘差
學生化外殘差
學生化外殘差
學生化外殘差
學生化外殘差
學生化外殘差
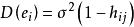
學生化外殘差線上性回歸中,殘差的重要套用之一是根據它的絕對值大小判定異常點,通常採用標準化殘差。但由於普通殘差的方差為,所以標準化殘差雖然除去了因變數的度量單位的影響,但沒有除去的影響,這裡是帽子矩陣的對角線元素。為此,令
學生化外殘差稱為 學生化(內)殘差。它比用標準殘差判斷異常點,更適用 。
學生化外殘差
學生化外殘差
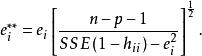
學生化外殘差學生化外殘差也叫學生化刪除的殘差,把學生化殘差中的用代替,即
學生化外殘差
學生化外殘差
學生化外殘差
學生化外殘差
學生化外殘差稱作 學生化刪除的殘差,其中表示刪除了第i次觀察值所剩的n-1次觀察進行回歸擬合後所算出的標準誤差的估計值。其用意是,在對普通殘差作“標準化”時,排除自身在誤差方差中的份額。
學生化外殘差
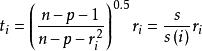
學生化外殘差在計算時,不必對每個i做一次回歸來計算,可由以下公式直接計算:
學生化外殘差公式中所有數據都是根據n個觀察值的擬合回歸模型得來的 。
相關介紹與性質
學生化外殘差
學生化外殘差學生化殘差有兩種:和,它們都是重要的診斷統計量,除了學生化殘差外,自從20世紀70年代以來,人們出於各種目的,提出了許多類的殘差以及相應的診斷統汁量,比較常見的有三種殘差,分別是預測殘差、不相關殘差和遞推殘差 。
學生化外殘差
學生化外殘差
學生化外殘差
學生化外殘差
學生化外殘差
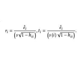
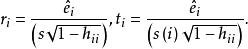
學生化外殘差在實際套用中,普通殘差並不直接被套用,主要是各個不存在同方差性,不便於比較,這就要求對進行標準化處理後得到學生化殘差。學生化殘差有兩種:和,它們都是重要的診斷統計量,模型(3.1)式的學生化內殘差(internal studentized residuals)和學生化外殘差(external studentized residuals)定義為:
學生化外殘差
學生化外殘差
學生化外殘差這兩個統計量在異常點檢驗中都非常重要,學生化外殘差就是異常點檢驗的t統計量,由學生化內殘差可得到異常點檢驗的似然比統計量。
對於學生化殘差有以下性質成立。
學生化外殘差
學生化外殘差(t)服從;
學生化外殘差
學生化外殘差
學生化外殘差(2)為的單調遞增函式,;
學生化外殘差
學生化外殘差
學生化外殘差(3)為單調遞增函式,;
學生化外殘差
學生化外殘差
學生化外殘差
學生化外殘差和可看作殘差分析的定量結果,當或超過一定水平,則可認為第i個樣本是異常點 。

