公式
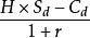
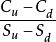
套期保值比率套期保值比率H=
套期保值比率
套期保值比率
套期保值比率
套期保值比率其中是股價上行時期權到期日價值,是股價下行時期權到期日價值,是上行股價,是下行股價。
套用
利用複製組合原理計算期權價值
套期保值比率購買股票支出=套期保值比率*股票現價=H*
套期保值比率借款數額=
那么期權價值=投資組合成本=購買股票支出—借款數額。

套期保值比率是指為了規避固定收益債券現貨市場風險,套期保值者在建立交易頭寸時所確定的期貨契約的總價值與所保值的現貨契約總價值之間的比率。確定合適的套期保值比率是減少交叉套期保值風險,達到最佳套期保值效果的關鍵。
套期保值比率套期保值比率H=
套期保值比率
套期保值比率
套期保值比率
套期保值比率其中是股價上行時期權到期日價值,是股價下行時期權到期日價值,是上行股價,是下行股價。
利用複製組合原理計算期權價值
套期保值比率購買股票支出=套期保值比率*股票現價=H*
套期保值比率借款數額=
那么期權價值=投資組合成本=購買股票支出—借款數額。
選擇性套期保值認為避險者不僅有規避現貨價格變動風險的動機,也包含了投機動機,因此參與期貨市場的目的,是以追求利潤極大化為目標,而非風險最小,因此該方法又...
基本介紹 方案實施萬噸LLDPE0907契約,0.8× 萬噸LLDPE0909契約,0.6× LLDPE0907契約
效率套期保值相對應的,就是最佳套期保值比率,它是套期保值理論研究...)等較早提出用Markowitz的組合投資理論來解釋套期保值,組合投資理論認為,交易者進行套期保值實際上是對現貨市場和期貨市場的資產進行組合投資,套...
概念 主要命題 演進通過上述系統研究,可以得到以下幾個方面的結論:第一,我國跨國公司當下對外匯交易風險進行套期保值管理是必要的,也是可行的。 第二,我國跨國公司外匯交易風險...
圖書信息 內容簡介 作者簡介 圖書目錄本書由中國期貨協會與上海期貨交易所、大連商品交易所、鄭州商品交易所聯合推出!介紹了套期保值與套利交易的基本概念、交易策略、風險控制等,並結合國內各交易所...
圖書信息 內容簡介 目錄套期保值(hedging),俗稱“海琴”,又稱對沖貿易,是指交易人在買進(或賣出) 實際貨物的同時,在期貨交易所賣出(或買進) 同等數量的期貨交易契約作...
基本特徵 交易原則 種類 作用 業務流程套期保值(Hedge或Hedging),是指企業為規避外匯風險、利率風險、商品價格風險、股票價格風險、信用風險等,指定一項或一項以上套期工具,使套期工具...
基本特徵 交易原則 種類 作用 業務流程套期工具,通常是企業指定的衍生工具,其公允價值或現金流量的預期可以抵銷被套期項目的公允價值和現金流量的變動。
定義 分類 處理 法規