成份
奇邁特本品主要成份為鹽酸曲馬多,輔料無。
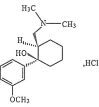
化學名稱:(±)-E-2-[(二甲氨基)甲基]-1-(3-甲氧基苯基)環己醇鹽酸鹽。
化學式結構:
分子式:CHNO·HCl
分子量:299.84
性狀
本品為無色澄清液體。
適應症
用於癌症疼痛,骨折或術後疼痛等各種急、慢性疼痛。
用法用量
肌內注射,一次50~100mg,必要時可重複。靜脈注射,一次100mg,緩慢注射或以5%~10%的葡萄糖注射液稀釋後滴注。日劑量不超過400mg。
基本內容
【藥品類型】 精神用藥
【中文名】 鹽酸曲馬多片
【產品英文名】 TramadolHydrochlorideTablets
【功能主治】 中、輕度癌症疼痛,骨折或各種術後疼痛,牙痛。
【藥品性狀】 白色片。
【不良反應】 以出汗、思睡、頭暈、噁心、嘔吐、納差及排尿困難為多見。個別病例有皮疹、血壓降低等過敏反應。
【產品規格】 50mg
【藥品成分】 鹽酸曲馬多
【用法用量】 口服。一次50~100mg,必要時可重複。日劑量不超過400mg。
【貯藏方法】 遮光、密封,在陰涼乾燥處保存。
【注意事項】 腎、肝功能不全,心臟疾患酌情慎用。不得和單胺氧化酶抑制劑同用。與中樞安靜劑(如安定等)合用時需減量。注意耐藥性或藥物依賴性形成。
禁忌
酒精、安眠藥、鎮痛劑或其他中樞神經系統作用藥物急性中毒,嚴重腦損傷,意識模糊,呼吸抑制患者禁用。
注意事項
1.腎、肝功能不全者、心臟疾患者酌情減量使用或慎用。
2.不得與單胺氧化酶抑制劑同用。
3.與中樞安靜劑(如安定等)合用時需減量。
4.長期使用不能排除產生耐藥性或藥物依賴性的可能。但不能作為對阿片類有依賴性病人的代用品,因不能抑制嗎啡的戒斷症狀。
5.有藥物濫用或依賴性傾向的病人只能短期使用。
孕婦及哺乳期婦女用藥
對孕婦安全性尚不明確,應權衡利弊慎用。哺乳期婦女慎用。
兒童用藥
14歲以上兒童用法用量同成人,1周歲以上兒童單次劑量為1~2mg/kg體重。
老年用藥
藥物消除時間可能延長,應根據個體需要延長給藥間隔時間。
藥物相互作用
本品與乙醇,鎮靜劑,鎮痛藥或其他精神藥物合用會引起急性中毒,本品與中樞神經系統抑制劑(如安定)合用時有強化鎮靜作用和鎮痛作用,應適當減量,與巴比妥類藥物合用可延長麻醉時間。
藥物過量
常規的急救措施為保持呼吸道暢通,維持呼吸和循環,呼吸抑制的解毒劑為納洛酮。
藥理毒理
本品為非阿片類強效鎮痛藥。主要作用於中樞神經系統與疼痛相關的特異性受體。無致平滑肌痙攣和明顯呼吸抑制作用,鎮痛作用可維持4~6小時。可延長巴比妥類藥物麻醉持續時間。與安定類藥物同用可增強鎮痛作用。具有輕度的耐藥性和依賴性。
藥代動力學
本品血漿蛋白結合率4%。在肝內代謝,24小時約有80%的原形及代謝產物從腎排出。t為6小時。
包裝
安瓿包裝。10支/盒,5支/盒。
執行標準
《中國藥典》2010年版二部。
批准文號
國藥準字H10800001
藥品準許證號:冀HabZbCab20050029
生產企業
石藥集團歐意藥業有限公司

