天線阻抗
正文
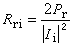
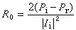
天線和饋線的連線處稱為天線的輸入端或饋電點。對於線天線來說,天線輸入端的電壓與電流的比值稱為天線的輸入阻抗。對於口面型天線,則常用饋線上電壓駐波比來表示天線的阻抗特性。一般,天線的輸入阻抗是複數,實部稱為輸入電阻,以Ri表示;虛部稱為輸入電抗,以Xi表示。天線的輸入功率Pi可以表示為
是以輸入端電流為參考的輻射電阻 


口面型天線的阻抗特性用饋線上某點的電壓駐波比或反射係數來表示。當反射係數為零、駐波係數為 1時,稱作匹配。
天線的輸入阻抗與天線的幾何形狀、尺寸、饋電點位置、工作波長和周圍環境等因素有關。線天線的直徑較粗時,輸入阻抗隨頻率的變化較平緩,天線的阻抗頻寬較寬。
一個彼此靠近的很多個單元天線組成的輻射系統稱為天線陣,天線陣中各單元之間以一種複雜的方式相互作用,這種現象稱為互耦,其結果使各單元天線上的電流不僅與本身的激勵有關,而且與相鄰天線上的電流有關。在N元天線陣中,任一單元的輸入阻抗為

是當其餘單元為開路時第n個單元的自阻抗;Z
是第n個單元和第m個單元之間的互阻抗。互阻抗的定義是 
=Zmn。 研究天線阻抗的主要目的是為實現天線和饋線間的匹配。欲使發射天線與饋線相匹配,天線的輸入阻抗應該等於饋線的特性阻抗。欲使接收天線與接收機相匹配,天線的輸入阻抗應該等於負載阻抗的共軛複數。通常接收機具有實數的阻抗。當天線的阻抗為複數時,需要用匹配網路來除去天線的電抗部分並使它們的電阻部分相等。
當天線與饋線匹配時,由發射機向天線或由天線向接收機傳輸的功率最大,這時在饋線上不會出現反射波,反射係數等於零,駐波係數等於1。天線與饋線匹配的好壞程度用天線輸入端的反射係數或駐波比的大小來衡量。對於發射天線來說,如果匹配不好,則天線的輻射功率就會減小,饋線上的損耗會增大,饋線的功率容量也會下降,嚴重時還會出現發射機頻率“牽引”現象,即振盪頻率發生變化。
對口面型天線來說,為了達到匹配狀態,應當在所有產生反射的不連續點附近加上能夠產生相反反射的匹配元件,使它們相互抵消。天線的頻帶由這些元件的組合頻帶決定。
