介紹
1888年,波蘭W.戈爾琴斯基首先提出以氣溫相對變幅為基礎表示大陸度。其後,許多學者提出了各自表示大陸度的方法,主要有溫度法、氣團法等。最常見的大陸度是以氣溫年較差為基礎的。此外,還有以降水和太陽輻射所對應的溫度效應表示的大陸度,或綜合幾種氣象要素表示的大陸度。
溫度法
溫度法是以氣溫年較差為基礎計算的大陸度。氣溫、降水、濕度等氣象要素都能顯示大陸影響的強弱,其中尤以氣溫年較差為顯著。溫度法可分為兩類:①用溫度年較差表示海陸的影響程度,並除以緯度的正弦,消除緯度對氣溫年較差的影響。公式為:
大陸度
大陸度式中K為大陸度;A為氣溫年較差(℃);φ為緯度。不同學者以上述公式為基礎,提出不同的經驗式,如戈爾琴斯基經驗式為
②用1月、7月溫度距平值表征大陸度,其公式為
大陸度和
大陸度式中Ai為某一緯度上某地的氣溫距平值;A嚚為在該緯圈上,該月的最大正距平值;A嚛為在該緯圈上,該月的最大負距平值;K1和K7分別為該地1月和7月的大陸度。
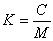
氣團法
氣團是所有氣象要素的綜合,在海洋性氣團影響下為海洋性氣候,在大陸性氣團影響下為大陸性氣候。其公式為
大陸度式中C為大陸性氣團出現頻率;M為海洋性氣團出現頻率。這種方法可用以測定年、 季、 月或其他時段的大陸度,缺點是有時氣團屬性不易確定。

