概述
不同波長的削弱不同,P僅表征對各種波長的平均削弱情況,例如P=0.8,表示平均削弱了20%。大氣的透明係數取決於所含水汽、水汽凝結物和塵埃雜質的多少,這些物質愈多,透明度愈差,透明係數愈小,太陽輻射被削減愈多;反之,大氣愈乾潔,透明度愈好,透明係數愈大,太陽輻射被削弱愈少。
公式推導
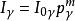
太陽輻射通過地球大氣被大氣吸收和散射以後到達地面的輻射量,稱為大氣對太陽輻射的透射量。根據比爾(Beer)定律,大氣對太陽輻射的減弱服從負指數規律;表示式為:
大氣透明係數式中,Ior是入射波長為A的太陽輻射強度;Ar為單位大氣質量的減弱係數(包括散射減弱和吸收減弱);m為大氣質量數,如果不考慮地球的曲率,m是天頂距θ的函式,即m=secθ(當θ〈60°時適用);天頂距不同,即大氣光學路程不同,則大氣質量m也不相同。
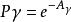
由上式可知,大氣對太陽輻射的透射量與大氣中吸收和散射物質的性質有關,與光線通過大氣的光學路程有關。顯然,天頂距越小,光線穿過大氣的光程越長,大氣對太陽輻射的減弱能力越大,則太陽輻射的透射量就越小反之就愈大。因此,可定義:
大氣透明係數
大氣透明係數稱Pr為對波長r的透射係數,表示大氣對太陽輻射的透射能力。因此,有
大氣透明係數則:
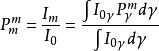
對太陽輻射的所有波長積分,則有:
大氣透明係數
大氣透明係數這裡,Im表示經過大氣減弱後透射到地面的太陽輻射強度,可以通過日射觀測儀器在地面直接測量來獲得;I0為太陽常數。可見,Pm是實際到達地面的太陽輻射強度Im與到達大氣上界的太陽常數I0之比的積分平均值,通常稱為積分平均大氣透明係數,表達式為:
大氣透明係數影響因素
由於太陽輻射通過大氣時各波長所受到的減弱作用不同,使得Pm與Pr也不相同。它隨大氣質量m而變化,短波部分比長波部分所受到的減弱作用更大一些;所以通過大氣質量越多,長波部分所占的比例就越大。因此,大氣透明度係數Pm是隨著大氣質量數m的增加而增大的。此外,同一大氣質量情況下的Pm在不同的季節、不同的月份中也是各不相同的,即大氣透明度係數Pm是時間的函式,而且Pm(t)這一函式關係的具體形式至今仍不清楚;大氣透明度係數Pm還因大氣分子、水汽和灰塵含量等而發生變化,不易精確計算。

