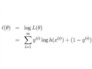
前提
最大似然估計法的思想很簡單:在已經得到試驗結果的情況下,我們應該尋找使這個結果出現的可能性最大的那個作為真的估計。
定義
為了得到多項式的最大似然估計需要構建如下的輔助函式:
多項式最大似然估計
多項式最大似然估計其中, 是給定觀測序列下的後驗機率,O是觀測序列。
多項式最大似然估計
多項式最大似然估計又因為 ,其中
多項式最大似然估計
多項式最大似然估計則 關於 的導數為:
令導數為0,得到多項式的似然估計方程為:

在已經得到試驗結果的情況下,我們應該尋找使這個結果出現的可能性最大的那個作為真的估計,而求取多項式的最大似然估計則需要引入一個輔助函式。
最大似然估計法的思想很簡單:在已經得到試驗結果的情況下,我們應該尋找使這個結果出現的可能性最大的那個作為真的估計。
為了得到多項式的最大似然估計需要構建如下的輔助函式:
多項式最大似然估計
多項式最大似然估計其中, 是給定觀測序列下的後驗機率,O是觀測序列。
多項式最大似然估計
多項式最大似然估計又因為 ,其中
多項式最大似然估計
多項式最大似然估計則 關於 的導數為:
令導數為0,得到多項式的似然估計方程為:
多項式最大似然估計,亦稱修正最小X2估計量,是基於樣本頻數分布建立的估計量。
概念 公式《跟蹤濾波工程——高斯-牛頓及多項式濾波》是2015年3月國防工業出版社出版的圖書,作者是(南非)諾曼·莫里森(Norman Morrison)。
內容簡介 圖書目錄最小二乘估計法,又稱最小平方法,是一種數學最佳化技術。它通過最小化誤差的平方和尋找數據的最佳函式匹配。利用最小二乘估計法可以簡便地求得未知的數據,並使得這...
簡介 定義 最小二乘法的解 示例分布估計算法 (EDA) 是一種新興的基於統計學原理的隨機最佳化算法. EDA與遺傳算法(GA)有著明顯的區別. GA 採用交叉和變異等操作產生新個體, ...
標準 EDA 及其流程 EDA 的改進研究 EDA 理論研究 典型套用估計、廣義線性模型的最大似然估計、非參數回歸模型的核光滑方法、變係數模型... 廣義線性模型 2.3 廣義線性模型的最大似然估計 2.3.1 參數的似然... 2.4 廣義線性模型的統計推斷 2.4.1 參數的最大似然估計的漸近分布...
內容簡介 目錄了GPR超參數的極大似然估計和蒙特卡羅方法求解 [9]。理論模型推導這裡...的測試結果進行估計(非正態似然的情形參見算法部分)。具體地,由回歸模型和...)的0均值常態分配: ,由此可得貝葉斯線性回歸的似然 [1]: 高斯過程回歸...
歷史 理論 算法 有關概念 性質性能 984.4 最大似然法 994.4.1 確定性最大似然法 994.4.2 隨機性最大似然法 1004.5 子空間擬合算法 1014.5.1...10章,主要內容涵蓋波束形成、DOA估計、二維DOA估計、寬頻陣列信號處理...
圖書內容 目 錄而成,接收端一般採用逐位最大後驗機率解碼器通過反覆疊代循環來解碼。本文首先...疊代解碼、解碼算法(最大後驗機率算法MAP、修正的MAP算法...,首先要考慮在語音傳輸中最大延遲的限制。在短幀情況下的仿真結果表明短交織...
簡介 歷史發展 研究現狀 特點 速率匹配