
【英文名稱】polyoxin;piomycin;polyoxin AL(JMAF)
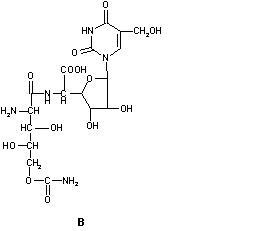
【結構或分子式】
【相對分子量或原子量】497.22(B);568.30(A)
【毒性LD50(mg/kg)】
小白鼠口服15g也不死亡。原藥對大、小白鼠的急性經口為20000以上,大白鼠急性經皮1200以上,對兔眼睛和皮膚無刺激作用,對豚鼠皮膚未引起過敏反應。雄、雌大白屬無作用劑量分別為2943、3146mg/kg·d,雄、雌小白鼠分別為6372、6748mg/kg·d。鯉魚TLm(48h)40mg/L以上,水虱為40mg/L以上(3h),對蜜蜂低毒。ADI為15mg/kg。
【溶解情況】
溶於水(5%),不溶於丙酮、氯仿、苯、乙醇、己烷、甲醇等。
【用途】
對小麥白粉病、菸草赤星病、黃瓜霜霉病、瓜類枯萎病、人參黑斑病、甜菜褐斑病、水稻紋枯病、蘋果早期落葉病、林木枯稍病、梨黑斑病等多種真菌性病害具有良好的防治效果。不僅能治病,而且能刺激植物生長。
防治水稻紋枯病,防效可達80%,水稻長勢旺盛,結實率比對照增加6%左右,畝產平均增加10%左右;防治黃瓜霜霉病,防效為70%,葉面肥大,葉色濃氯,可延長結果期;防治甜菜褐斑病,防效70%,塊根的產量可增加20%左右,含糖量提高30%左右;防治人參黑斑病,防效在90%以上,可提高人參的產量和參籽收穫量。使用多抗黴素,常用100r液劑噴施,如加中性粘著劑,能提高防治效果。
【製備或來源】
將砂土管接斜面(無菌操作)28℃恆溫培養,待孢子長成熟,將斜面孢子再接斜面,恆溫培養後即為生產斜面;然後進行種植培養(種子罐)、發酵(發酵罐)、酸化、濃縮、噴霧乾燥、粉碎即得。
【其他】
本品是肽嘧啶核苷類抗生素,含有A~N14種不同同系物的混合物。我國多抗黴素是金色產色鏈黴素(streptomyces aureochromogenes)說產生的代謝物,主要成分是多抗黴素A(C23H32N6O14)和多抗黴素B(C17H25N5O13),含量為84%(相當於840000r/g),為無色針狀結晶,熔點180℃。日本稱為多氧黴素,系可可鏈黴菌阿蘇變種(S.cacaoi var.asoensis)所產生的代謝物,主要成分為多抗黴素B,純品為無定形結晶。熔點160℃以上(分解)。原藥含多氧黴素B22%~25%(相當於220000~250000r/g),為淺褐色粉末,相對密度0.10~0.20,分解溫度149~153℃,pH2.5~4.5,水分含量小於3%,細度大於149μm的小於25%。對紫外線穩定。在酸性和中性溶液中穩定,但在鹼性溶液中不穩定。
【包裝及貯運】
小包裝用雙層塑膠袋包裝,每袋0.5kg;大包裝用紙箱,每箱10kg。貯運時要求防水、防潮,不得與鹼性物質存放在一起,也不能與鹼性或酸性藥劑混用,應貯存在陰涼乾燥處。
【生產單位】
吉林省延邊農藥廠
