赫爾曼·外爾
赫爾曼·克勞斯·胡戈·外爾( Hermann Klaus Hugo Weyl,1885年11月9日-1955年12月8日)是一位德國數學家,物理學家和哲學家。 儘管他的大部分工作時間是在瑞士蘇黎世和美國普林斯頓度過的,他仍被認為傳承了以大衛·希爾伯特和赫爾曼·閔可夫斯基為代表的哥廷根大學學派的數學傳統。 他的研究工作在理論物理上和在純數學領域(如數論)等都有著一樣傑出的貢獻。他是20世紀最有影響力的數學家之一,也是普林斯頓高等研究院早期的重要成員。
外爾發表過的作品涉及時間、空間、物質、哲學、邏輯、對稱性和數學史。 他是最早把廣義相對論和電磁理論結合的人之一。當他同時代的數學家對昂利·龐加萊和希爾伯特的對數學的廣泛涉獵的重要性缺乏重視的時候,外爾走得比任何人更遠。麥可·阿蒂亞曾評價,他開始研究一個數學題目的時候,經常發現外爾已經在他之前有所貢獻。
傳記
外爾出生於德國漢堡附近的一個小鎮Elmshorn。從1904年到1908年期間他在哥廷根和慕尼黑學習數學和物理。在他十分尊敬的導師希爾伯特的指導下,外爾在哥廷根大學獲得博士學位。在幾年的教學工作後,他離開哥廷根到蘇黎世,在那裡他擔任蘇黎世聯邦理工學院數學系的系主任。在那裡他和當時正在研究廣義相對論阿爾伯特·愛因斯坦是同事。愛因斯坦對著迷於數學物理的外爾有很大的影響。1921年外爾見到了被聘用為蘇黎世大學教授的埃爾溫·薛丁格,自那時起他們成為了一生的親密朋友。
外爾在1930年離開了蘇黎世,到哥廷根接替希爾伯特的職位,直到1933年納粹執政時,因為他的妻子是猶太人而被迫離開。這一事件使得他決定前往當時剛剛創建的普林斯頓高等研究院。直到1951年他退休以前,他都在那裡工作。他和他的妻子生活在普林斯頓和蘇黎世兩地,並於1955年逝世。
貢獻
更多信息:外爾變換和外爾張量
1913年,外爾出版了 Die Idee der Riemannschen Fläche( The Concept of a Riemann Surface,《黎曼面的概念》,有英譯本)一書。在書中他給出了處理黎曼面的一般方法。為了讓黎曼面的理論更加嚴格,外爾使用了點集拓撲。而這一方法後來被推廣到一般的流形上。他為此參考了魯伊茲·布勞威爾之前在拓撲學上的工作。
作為哥廷根的最重要的科學家之一,外爾很早就對愛因斯坦的工作有了充分的了解。在他的 《時間、空間、物質》(1918年第一版,1922年第四版)一書中,他回溯了相對論物理的發展.1918年,他引入了規範(gauge)的概念,並給出了規範理論最早的例子。在當時的條件下,外爾的規範理論試圖用時空的幾何性質來描述電磁場和引力場,但是這並不是一個太成功的嘗試。(某種程度上,我們可以把他的工作看成愛因斯坦所追求的統一場論的數學化)黎曼幾何中的外爾張量對研究共形幾何的內在性質有重要的作用。1929年外爾把vierbein引入廣義相對論。.
他的對物理學的探索基於埃德蒙德·胡塞爾的現象哲學,特別是胡塞爾在1913年的 Ideen zu einer reinen Phänomenologie und phänomenologischen Philosophie. Erstes Buch: Allgemeine Einführung in die reine Phänomenologie( 《純粹現象學通論 純粹現象學和現象學哲學的觀念(I)》胡塞爾著 李幼蒸譯)。 顯然地,這是外爾處理愛因斯坦的有爭議的對於恩斯特·馬赫的現象物理學的依賴性的方式。胡塞爾對戈特洛布·弗雷格關於他的算術哲學的最早的著作的批評反應強烈。彼時他正在探索對於數學和其他結構的感覺,而這正是弗雷格從經驗參考中區分出來的。所以有充足的理由認為,規範理論是從外爾的作為物理量度的形式的觀點,而不是一種物理理論發展起來的。
外爾規範
外爾規範外爾規範(Coulomb gauge)是一種橫場條件,定義為。
標量勢φ和矢量勢A對電磁場的確定不是唯一的,有可能對它們引進適當的限制條件。
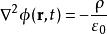
外爾規範在庫侖規範下,時變電磁場情形下,標量勢φ由方程確定。這是瞬時的庫侖勢方程,庫侖規範的名稱由此而得。
在推導磁矢勢時候可以藉助來得到
外爾規範以外爾為名的相關主題
•馬約拉納-外爾旋量
•舒爾-外爾二元性
•外爾代數
•狄拉克矩陣之外爾基底
•外爾特徵標公式
•外爾準則
•外爾曲率:參見外爾張量
•外爾曲率假說
•外爾維度式
•外爾方程式:一種相對論量子力學波動方程式
•外爾重力
•外爾群
•外爾規範
•外爾不等式
•外爾積分
•外爾定律
•外爾引理 (拉普拉斯方程式)
•外爾模
•外爾符號
•外爾悖論
•外爾假設
•外爾量子化
•外爾標量
•外爾旋量
•外爾和
•外爾對稱:參見外爾轉換
•外爾張量
•外爾和
•外爾向量
