技術簡介
增濕灰循環脫硫技術(NID技術)控制系統通過調節混合器加入水量的多少來保證反應器中反應的溫度及恆定的煙氣出口溫度,同時對進出口煙氣量連續監測,進口、出口SO2濃度和煙氣流量決定了系統吸收劑的加入量。循環脫硫灰在除塵器的灰斗中得到收集,當高於灰斗的最大料面時,通過溢流方式排出。由於排出的脫硫灰含水率只有2左右,流動性好,適宜採用氣力輸送裝置外送,也可用汽車運輸等方式送至灰場。
技術優勢
傳統的乾法(半乾法)煙氣循環流化床脫硫工藝是將水和石灰配製成濃度為35~50的漿液或將水直接噴入煙氣中以降低煙氣溫度,形成必要的反應條件。獨特的NID工藝將水均勻分配到循環灰粒子表面,在一體化的增濕器中加水增濕使循環灰的水份含量從2增加到5左右,然後以流化風為動力藉助煙道負壓進入截面為矩形的脫硫反應器。含5水分的循環灰由於具有極好的流動性,克服了傳統的乾法(半乾法)脫硫工藝可能出現的粘壁問題。
NID工藝中,循環物料量比傳統的乾法(半乾法)脫硫工藝大,且水份均勻的分布在循環灰粒子表面,使得大量的脫硫循環灰進入反應器後可形成非常大的蒸發表面積,因此水份蒸發很快,煙氣中循環灰的乾燥時間大大縮短。煙氣溫度很快從140℃左右冷卻到70℃左右,煙氣相對濕度則很快增加到40~50,形成了最佳的脫硫反應環境,從而大大縮短了煙氣在反應器中所需的停留時間。NID工藝良好的脫硫反應環境,保證了在採用較小尺寸反應器的情況下也能夠達到很高的脫硫效率,減少了占地面積和初投資。NID反應器比傳統乾法煙氣脫硫的脫硫塔小很多,這種結構的縮小同時能使煙氣的相對濕度充分增加,有利於脫硫反應的進行。
由於煙氣溫度的降低及濕度的增加,使得煙氣中的SO2等酸性氣體分子更容易在吸收劑的表面冷凝、吸附並離子化,對提高脫硫效率非常有利;另外,由於循環灰顆粒間的劇烈摩擦,使得被鈣鹽硬殼所覆蓋的未反應部分吸收劑重新暴露出來繼續參加反應(表面更新作用)。同時,因吸收劑是在混合器中預先混合、增濕並多次循環的,故吸收劑的有效利用率很高;新鮮吸收劑的連續補充和大量脫硫灰的循環,經過增濕混合,使吸收劑在反應器始終維持著較高的有效濃度,這就確保了較高的脫硫效率。
NID技術工藝流程
從鍋爐來的未處理的熱煙氣交替通過一級電除塵器進入到NID反應器的過程中,經歷了氣體分散劑,自由流體接觸,飛灰和石灰粉末噴濕等階段。它的組成物被粉末中的鹼性組分快速吸收。與此同時水蒸發使煙氣溫度到達SO2的最佳吸收溫度。氣體分布、粉末流速和分布、增濕水量的有效控制確保了SO2最適宜脫除率的最佳條件。
處理過的廢煙氣流經脫硫後除塵器,在這裡煙氣中的粉塵被脫除。顆粒除塵器出口的煙氣由引風機輸送到煙囪。收集下來的固體顆粒通過增濕系統再循環到NID系統。漏斗控制粉末掉到殘渣斗,以便進一步處理。
吸收劑
NID系統往往採用生石灰(CaO)或消石灰(Ca(OH)2)作為吸收劑。當石灰消耗量高時,一般採用生石灰作為吸收劑,這是因為同等工效比較,生石灰的重量比消石灰的重量要小得多。當使用消石灰時,就可以去除在石灰消化器內石灰消化的工序。如果使用生石灰,有必要採用石灰消化器。
NID工序可以在不同質量的石灰下工作,只要石灰能提供足夠的活性CaO。石灰顆粒尺寸應充分小以便於消化。如果顆粒不夠小,在消化之前石灰應被粉碎。
吸收劑存放在分散的儲藏地坑倉中,由地坑倉輸送到石灰倉,再送到消化器中。交替的,地坑倉位於消化器附近以便於吸收劑可以直接從地坑進入到消化器。
石灰斗裝備有不同容量CaO或Ca(OH)2的進料器,這由NIDIC系統控制。從倉斗進料器中投入到消化器或直接混合的CaO或Ca(OH)2的量經過測量,測量信號反饋到NIDIC控制器。
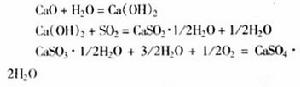
NID工藝的原理
該工藝的原理是利用乾CaO或Ca(OH)2粉經加水增濕後吸收煙氣中的SO2和其它酸性氣體,反應式為:
工藝的原理Ca(OH)2 SO2→CaSO3·1/2H2O 1/2H2O
Ca(OH)2 2HCl 2H2O→CaCl2·4H2O
CaSO3·1/2H2O 3/2H2O 1/2O2→CaSO4·2H2O
Ca(OH)2 CO2→CaCO3 H2O
Ca(OH)2 SO3→CaSO4 H2O
送入到NID系統中的水的數量與經過NID反應器進口和出口間氣體的溫度相關(所謂的“噴射降溫”)。噴射降溫越大,蒸發的水量越多。
一般來說,吸收效率和石灰利用率與離開反應器的相關增濕煙氣息息相關。出口溫度越靠近水的絕熱飽和溫度,石灰利用率越高。最終產物的運輸工具不受什麼限制。最適宜的溫度通常在“逼近溫度”上下15-20度。
SO2是煙氣中相對“惰性”的組分,反應器出口溫度保持在露點附近時(例如更高的相關濕度條件下),單個顆粒在表面保持有更長時間的水膜,這樣推進了SO2和Ca(OH)2間的反應。吸收的程度和石灰利用的化學計算可以被最佳化。
SO3和氫化物(HCl,HF等)比SO2酸性更強。在反應條件下,在SO2被吸收的同時它們幾乎完全被吸收。在數量適中條件下,酸性氫化物對SO2脫除扮演了援助的角色,因為氫化物的鈣鹽是具有吸濕特性的,這樣使“烘乾小液滴”在潮濕條件下保持更長時間,於是加強了由低“逼近溫度”得到的最佳條件。
NID技術的主要特點
1.NID技術克服了其他乾法(半乾法)脫硫工藝脫硫劑消化系統的複雜性及運用中產生的一系列粘結、堵塞、崩塌等嚴重問題。生石灰消化及增濕的一體化設計不僅對提高脫硫效率十分有利,同時也降低了吸收劑消化系統的投資和維修費用。
2.利用循環灰攜帶水份,當水與大量的粉塵接觸時,不再呈現水滴的形式,而是在粉塵顆粒的表面形成水膜,在儘可能短的時間內形成溫度和濕度適合的理想反應環境。同時也克服了傳統半乾法活化反應器中可能出現的粘壁問題。
3.NID技術的煙氣在反應器內停留時間只須1秒左右,可有效降低脫硫反應器高度。
4.採用普通壓力噴嘴,不需要大量的霧化空氣,可節約壓縮空氣站的投資和運行費用。
5.整個裝置結構緊湊、占用空間小,運行可靠。裝置的負荷適應性好。
6.脫硫付產物為乾態,系統無污水產生。脫硫渣流動性好。
7.對所須吸收劑要求不高,可廣泛取得;循環灰的循環倍率可達30~150倍,使吸收劑的利用率提高到95以上。
8.通過減少反應器的尺寸和占地面積降低以及避免採用複雜的消化製備系統,大大降低了初投資和運行費用。
9.無單獨CaO消化、輸送、存儲系統,現場乾淨,文明生產。
10.脫硫後煙氣不必再加熱,可直接排放,脫硫後煙氣溫度達到70~75℃,高於酸露點15℃以上,對風機、煙道、煙囪系統無腐蝕。
11.脫硫劑要求不高,就地都可解決,價廉易得。
12.脫硫效率高,脫硫效率可達92左右。
